דלג לתוכן האתר >

Master Services Agreement

January 2026


This Master Services Agreement ("Agreement") constitutes a binding contract between the entity identified in the Order Form as the customer (“Customer”) and ClearMash Solutions Ltd. (“Company”), in relation to the Company's solution for organizational knowledge management, as provided through the ClearMash Platforms (as defined below).

Please read this Agreement carefully before using the ClearMash Platforms. By using the ClearMash Platforms, you indicate that you have read and agree to this Agreement, the Data Processing Addendum (DPA), the Privacy Policy and any other document incorporated by reference herein.

1.       Definitions

1.1.   "Authorized Users" means those employees, consultants and any third parties (whether from within Customer's organization or not) that Customer designates and authorizes to use and deal with the ClearMash Platforms on its behalf.

1.2.   "ClearMash Platform(s)" means the Main Platform, the Developers Platform and the Support Platform, any or all.

1.3.   "Customer Data" means any data derived automatically from Customer's systems and any data the Customer manually uploads to the ClearMash Platforms or modifies using the ClearMash Platforms, whether it concerns Individuals or otherwise.

1.4.   "Developers Platform" means ClearMash's proprietary web-based platform intended to assist Customers' developers in the operation of the Main Platform.

1.5.   "Feedback" means any review or information provided by Customer concerning any of the ClearMash Platforms, including information pertaining to bugs, errors and malfunctions, performance, or any enhancements, changes, or additions, whether provided orally, in writing or otherwise.

1.6.   "Fees" shall have the meaning ascribed to it in Section 7.1 below.

1.7.   "Intellectual Property Rights” means any and all rights in, arising out of, or associated with: (i) all patents and utility models and applications therefore, and all reissues, divisions, re-examinations, renewals, extensions, provisional, continuations, and equivalent or similar rights anywhere in the world in inventions and discoveries including without limitation invention disclosures; (ii) all copyrights, copyright registrations and applications therefore, and all other rights corresponding thereto throughout the world, including without limitation “moral” rights; (iii) all industrial designs and any registrations and applications therefore throughout the world; (iv) mask works, mask work registrations and applications therefore, and all other rights corresponding thereto throughout the world; (v) all trade secrets and other rights in know-how and confidential or proprietary information; and (vi) any similar, corresponding, or  equivalent rights to any of the foregoing anywhere in the world.

1.8.   "Main Platform" means ClearMash's proprietary web-based, AI-driven knowledge-management Platform, which manages company knowledge (also known as ClearMash Mentor) and provide self service knowledge base (also known as ClearMash Care).

1.9.   "Order Form" means the order form executed by the parties in relation to this Agreement.

1.10.                      "Output" means any metadata, insights, reports, or other information the ClearMash Platforms generate based on the Customer Data. 

1.11.                      "SOW" means the Statement of Work executed by the parties, if executed.

1.12.                      "Support Platform" means ClearMash's proprietary web-based platform intended to assist Customer's Authorized Users in the operation of the Main Platform.

1.13.                      "Term" shall have the meaning ascribed to it in the applicable Order Form.

1.14.                      "Testimonial" means any statement, endorsement, review, comment, or other communication, whether written, oral or recorded in any medium, provided by the Customer or its Authorized Users regarding their experience with, or opinions about, the ClearMash Platforms, the Company or any other services it provides.

2.       Grant of License; Restrictions

2.1.   Subject to this Agreement, ClearMash grants Customer, a limited, non-exclusive, worldwide, non-sublicensable, non-transferable, and revocable license to access and use the ClearMash Platforms, from the Effective Date and throughout the Term of the Agreement (the "License"). Customer shall use the ClearMash Platforms for Customer's internal business and organizational purposes only, unless the parties agree otherwise in writing. All rights not specifically granted to Customer herein are exclusively reserved to ClearMash.

2.2.   Access to and use of the ClearMash Platforms is further subject to ClearMash General Terms of Use, available at https://legal.clearmash.com/GeneralTermsofUse.htm?lang=he, as may be updated by the Company from time to time.

2.3.   User accounts provided to Customer under the License shall be individually named and assigned to specific Authorized Users, at Customer's choice. User accounts may only be transferred to, used by, or shared with, other individuals or employees, within the Customer’s organization, or outside the Customer’s organization, upon Company's written approval.

2.4.   Customer acknowledges that the License is limited to the number of user accounts specified in the Order Form or the SOW (as applicable). In the event that Customer exceeds the agreed number of user accounts at any time during the Term, Customer hereby authorizes Company to charge Customer for such excess usage, upon written notice to Customer. Overage charges shall be calculated based on the Company's then-current rates for additional users and shall be prorated for the applicable billing period.

2.5.   Customer covenants that Customer and its Authorized Users will use the ClearMash Platforms only in compliance with all applicable laws and regulations, this Agreement and the ClearMash General Terms of Use. Customer shall be liable to Company for all acts or omissions of Customer's Authorized Users.

2.6.   If Customer allows, in its sole discretion, Authorized Users from outside Customer's organization to use the ClearMash Platforms, including (without limitation) its customers ("External Authorized Users"): (i) Customer shall be liable to Company for all acts or omissions of External Authorized Users; (ii) Customer shall be solely liable for providing External Authorized Users with the ClearMash General Terms of Use, and for providing any updated versions of the General Terms of Use in the future; (iii) Customer shall be solely liable for providing External Authorized Users with a privacy policy, for obtaining their explicit consent to the processing of their data and sharing it with Company, and recording such consent.

2.7.   When using the ClearMash Platforms, Customer and its Authorized Users shall not, and shall not allow others to: (i) attempt to circumvent, bypass, or deactivate security or protection measures of the ClearMash Platforms; (ii) use the ClearMash Platforms to develop or create an application, website, or any other product similar to, or competing with, the ClearMash Platforms; (iii) use the ClearMash Platforms, or any part thereof, for the purpose of benchmarking, performance testing, or comparing the ClearMash Platforms with any other products or services; (iv) attempt to compromise information security on the ClearMash Platforms or in any network or server used by Company, attempt to uncover information security vulnerabilities, or attempt to engage in any form of probing, scanning, crawling, robotic navigating, or hacking of the ClearMash Platforms; (v) attempt to access the ClearMash Platforms, download any information, or use any information on the ClearMash Platforms through an automated or mechanized process; (vi) attempt to activate or access features or capabilities that are undocumented, not ordinarily accessible, or deactivated in the ClearMash Platforms; (vii) attempt to engage in reverse-engineering, modifying, translating, replacing or reverse-compiling, disassembling, or decompiling of the ClearMash Platforms or any of its parts; (viii) use the ClearMash Platforms in any manner that may give rise to a criminal offense, civil tort, infringement, or violation of the rights of any third party; (ix) attempt to burden or interfere with the operation of the systems related to the operation of the ClearMash Platforms; (x) use the ClearMash Platforms to send or introduce into the Company or any third party's system, any virus, worm, Trojan horse or other malicious or harmful code or attachment; (xi) use the ClearMash Platforms for or in connection with any action that may encourage or constitute a threat, harassment, or fraud, or in connection with any high-risk activity (including, without limitation, life-support systems, emergency services, air traffic control, nuclear facilities, or any other use where failure or malfunction could reasonably result in death, personal injury, or severe damage); (xii) use the ClearMash Platforms to send unsolicited or unauthorized messages; (xiii) perform any action that may violate any applicable anti-spam and electronic communications laws and regulations; (xiv) use the ClearMash Platforms in violation of the provisions of this Agreement.

2.8.   Customer acknowledges that Company may (but is under no obligation to) employ technological measures to detect and prevent fraudulent or abusive use of the ClearMash Platforms. Company may suspend or block the access of an Authorized User to the ClearMash Platforms upon written notice, if Company, in its sole discretion, suspects that the Authorized User has abused their right to use the ClearMash Platform under this Agreement.

3.       API

3.1.   Access to and use of any application programming interfaces (“APIs”) provided by Company in connection with the ClearMash Platforms, shall be subject to the API terms and conditions, available at https://legal.clearmash.com/APITermsofUse.htm?lang=he, as may be updated by the Company from time to time. Customer and its Authorized Users’ access to or use of the APIs constitutes acceptance of the applicable API terms and conditions.

3.2.   Unless agreed otherwise in writing, Customer is strictly prohibited from sublicensing, assigning, providing access to or otherwise distributing the API in any manner, other than to its employees who Customer assigns to use the API. A breach of this provision shall be considered material breach of this Agreement.

Without derogating from the foregoing, if Customer permits any vendor, end user or third party outside Customer's organization to access and use the API, then Customer is solely responsible for: (i) any action or omission by such third party in relation to the use of the API; and (ii) providing the API Terms of Use to such third party and ensuring that third party's compliance with the provisions therein. Customer is strictly prohibited from (i) making any representations and/or warranties to any third party on behalf of Company; and (ii) presenting the API as a component or a part of Customer's or any third party's product or service. 

4.       Support

Company shall provide Customer with maintenance and support services as stipulated in the Service Levels Agreement attached hereto as Appendix A to this Agreement ("SLA"). Unless otherwise agreed by the parties, the maintenance and support services described in the SLA will be provided at no additional cost to Customer.

5.       Professional Services

5.1.   From time to time, the Customer may elect to engage the Company to provide Professional Services, in which case the parties will execute a separate order form. The Professional Services shall be provided under and governed by the terms of this Agreement, the order form and any other applicable terms.

For the purpose of this section, "Professional Services" means any services provided by Company in relation to the ClearMash Platforms, including, without limitation, consulting, integration, training, or other advisory or professional activities.

5.2.   The provision of Professional Services will be subject to additional fees, as specified in the applicable order form.

6.       Security; Accessibility

6.1.   Company implements and maintains appropriate technical and organizational security measures to protect the confidentiality, integrity, and availability of all the ClearMash Platforms and the data therein. A list of the security measures we implement is available on our website, at https://www.clearmash.co.il/skn/he/c6/e288/אבטחת_מידע.

Notwithstanding the foregoing and without derogating from Company's responsibilities herein, Customer shall implement and maintain appropriate security measures on its end, including but not limited to: (i) ensuring that all Authorized Users maintain the confidentiality of their login credentials; (ii) implementing appropriate access controls and user management practices within Customer's organization; and (iii) ensuring that Customer's systems and networks used to access the ClearMash Platforms are adequately secured and protected against malware and other security threats.

6.2.   Company represents and warrants that the ClearMash platforms are designed and developed to conform, in all material respects, to the Web Content Accessibility Guidelines (WCAG) Level AA standard. The Company will use commercially reasonable efforts to maintain such conformance throughout the Term.

7.       Fees

7.1.   In consideration of the License, Customer shall pay Company a fee in the amounts and terms stipulated in the Order Form or the SOW (as applicable) ("Fees").

7.2.   All Customer's payment obligations are non-cancelable, and all amounts paid in connection with this Agreement are non-refundable. Except in the case of termination due to Company's material breach of this Agreement, Customer shall not be entitled to any refund (pro-rata or otherwise), for any fees it paid for the terminated Agreement.

7.3.   Each party shall be responsible for and shall pay all taxes, duties, levies, or similar governmental assessments of any nature (including, without limitation, value-added, sales, use, or withholding taxes) imposed in connection with its performance under this Agreement, except for taxes based on the other party’s net income.

7.4.   If Customer disputes, in good faith, any portion of the Fees, Customer shall notify the Company in writing within fifteen (15) days of the invoice date, specifying the amount in dispute and the basis for such dispute. Failure by Customer to provide timely written notice of a billing dispute shall constitute acceptance of the corresponding invoice as accurate and due in full.

The parties shall cooperate in good faith to resolve any billing dispute promptly, and in any event within thirty (30) days. All undisputed amounts remain due and payable.

7.5.   Any undisputed Fees that Customer did not pay within their due date are deemed overdue Fees. Failure to settle overdue Fees within fourteen (14) calendar days of their original due date will constitute a material breach of this Agreement. Without derogating from any other rights and remedies available to Company under applicable law in connection therewith, Company may, at its option and sole discretion: (i) suspend Authorized Users' access to the ClearMash Platforms; and/or (ii) collect interest from Customer at the lower of the rate of 0.75% per month or the maximum interest rate under applicable law on all overdue Fees. Customer agrees to reimburse Company for reasonable legal costs and reasonable attorney fees actually incurred in the course of collecting overdue Fees.

8.       Customer Data

8.1.   Customer is solely liable for the Customer Data it provides to Company through the ClearMash Platforms. By providing Customer Data to Company, Customer represents and warrants that the Customer Data: (i) only includes true, accurate, and complete details. Customer acknowledges that false, incorrect, or outdated information may impair Company's ability to provide Customer its services; (ii) does not contain any confidential information of third parties, including (without limitation) Customer's customers; (iii) does not infringe any third-party rights, including (without limitation) Intellectual Property Rights; (iv) does not include any personal data; and (v) does not include any content that is harmful or that may constitute or give rise to a criminal offense or a civil tort.

8.2.   Customer authorizes and instructs Company to process Customer Data to: (i) provide Customer with access to the ClearMash Platforms and their functions; (ii) generate the Output; (iii) provide support to Customer in the operation of the ClearMash Platforms, at Customer's request; and (iv) improve, and enhance the ClearMash Platforms, including by way of training of its Artificial Intelligence models, and develop or enhance any additional services or products, and market them or conduct product demonstrations to third parties, at no charge to Customer. Such use shall not disclose any confidential information of the Customer (all together: the "Purposes").

8.3.   Where Customer Data includes personal data of any individual: (i) Customer must promptly notify Company thereof in writing; (ii) Customer must obtain data subjects' consent prior to providing the Customer Data to Company; and (ii) the parties shall execute a Data Processing Addendum and abide by it and any applicable data privacy laws.

9.       Intellectual Property

9.1.   All Intellectual Property Rights in and to the ClearMash Platform, including Company's databases and the ClearMash Platforms’ design, graphics, computer code, algorithms, and “look and feel” (and except for Customer Data and Output), are the exclusive property of Company or its licensors (collectively: “Company IP”).

9.2.   Other than as expressly permitted in this Agreement, Customer and its Authorized Users may not, either directly or by a third party on their behalf, copy, distribute, display or perform publicly, sublicense, decompile, disassemble, reduce to human readable form, execute publicly, make available to the public, adapt, make commercial use of, process, compile, translate, sell, lend, rent, reverse engineer, combine with other software, modify or create derivative works of, the Company IP or any part thereof, in any way or by any means.

9.3.   Customer owns all Intellectual Property Rights in and to the Customer Data and Output. By using the ClearMash Platforms, Customer hereby grants Company a worldwide, sublicensable license to use the Customer Data and the Output for the Purposes.

9.4.   By providing Feedback or Testimonials to Company, Customer irrevocably transfers and assigns to Company all Intellectual Property Rights in and to any Feedback and Testimonials and waives any and all moral rights that Customer or its Authorized Users may have in respect thereto.

9.5.   Unless Customer notifies Company otherwise in writing, Company may identify Customer as a customer of the Company that uses the ClearMash Platforms, including on Company's website and in online or offline marketing materials. Customer hereby grants Company a worldwide, non-exclusive, non-transferable, royalty-free, and free of charge license to use the Customer's name, logo, and website URL, solely for the purpose of identifying Customer as the Company's customer, as described herein.

9.6.   Customer may not, without Company’s prior written consent in each instance, (a) use or display Company’s name, trademarks, logos, or website URL, or (b) publish or disseminate any testimonial, endorsement, review, rating, case study, quote, press release, or other public statement relating to Company or the ClearMash Platforms, whether online or offline. If Company provides such prior written consent, Company grants Customer a worldwide, non-exclusive, non-transferable, royalty-free license to use Company’s name, logo, and website URL solely to the extent and for the purpose expressly approved in writing by Company. Any approval may be withheld in the Company’s sole discretion and may be revoked by the Company at any time upon written notice, after which Customer will promptly cease the approved use and remove the applicable materials to the extent commercially practicable.

10.   Confidentiality

10.1.                      Confidential Information” shall mean any and all information disclosed by one party (”Disclosing Party”) to the other (”Receiving Party”) whether disclosed orally, in writing, electronically, visually, or in any other form, regarding past, present, or future marketing and business plans, customer lists, lists of prospective customers, technical, financial, operational, or other proprietary or confidential information of the Disclosing Party, formulae, concepts, discoveries, data, designs, ideas, inventions, methods, models, research plans, procedures, , formulations, processes, specifications and techniques, prototypes, samples, analyses, computer programs and/or software, trade secrets, data, methodologies, techniques, non-published patent applications, and any other data or information, and improvements and know-how related thereto. For the avoidance of doubt, any proprietary content, materials, documentation, or information provided by Company or made available through, or relating to, the ClearMash Platforms (other than the Customer Data and Output), including any non-public features, functionalities, user interfaces, configurations, or other elements of the ClearMash Platforms, shall be Company's Confidential Information.

10.2.                      Each Party herein must hold any Confidential Information in confidence using the same degree of care, but at least a reasonable degree of care, that it uses to prevent the unauthorized disclosure of its own Confidential Information. The Receiving Party may use Confidential Information only for the purpose of performing its obligations under this Agreement.

10.3.                      The obligations set forth in this section shall not apply to information that: (i) is now or subsequently becomes generally available in the public domain through no fault or breach on Receiving Party's part; (ii) Receiving Party can demonstrate in its prior established records to have had rightfully in Receiving Party's possession prior to disclosure of the same by the Disclosing Party; (iii) Receiving Party can demonstrate by written records that it had rightfully obtained the same from a third party who has the right to transfer or disclose it, without default or breach of confidentiality obligations; (iv) Disclosing Party has provided its prior written approval for disclosure; or (v) Receiving Party is required to disclose pursuant to a binding order or request by a court or other governmental authority, or a binding provision of applicable law, provided that, to the extent permissible, Receiving Party provides the Disclosing Party notice of the requested disclosure as soon as practicable, to allow the Disclosing Party, if it so chooses, to seek an appropriate protective or preventive order.

11.   Term and Termination

11.1.                      This Agreement will be in effect from the date of signing the Order Form and for the duration of the Term defined therein. The Agreement shall automatically renew under the terms stipulated in the Order Form.

11.2.                      Either party may terminate this Agreement:

11.2.1.   for material breach of this Agreement by the other party, by written notice to the party in breach with immediate effect, if the breaching party failed to cure such breach within fifteen (15) days of receiving written notice thereof from the other party.

11.2.2.   Immediately upon written notice to the other party, if that party: (i) becomes or is declared insolvent or bankrupt; (ii) is the subject of any proceeding related to its liquidation or insolvency (whether voluntary or involuntary) which proceedings are not dismissed within sixty (60) days of their commencement; (iii) makes an assignment for the benefit of creditors; or (iv) takes or is subject to any such other comparable action in any relevant jurisdiction.

11.3.                      Following termination of this Agreement:

11.3.1.   Company will terminate Customer and its Authorized Users' access to the ClearMash Platforms;

11.3.2.   Customer may ask to retrieve its data from the ClearMash Platforms within thirty (30) days from the expiration or termination of this Agreement;

11.3.3.   Each party shall delete the other party’s Confidential Information (except that a party may retain one archived and safeguarded copy of the other party’s Confidential Information which shall not be used except for accounting, bookkeeping or enforcement of this Agreement), and provide the other party with written certification of such deletion upon request;

11.3.4.    Company will bill Customer for all outstanding Fees (if any);

11.4.                      Sections 1,8, 9, 10, 11, 12, 13, 14, 15 and 17 of this Agreement shall survive termination or expiration of this Agreement.

12.   Audit

12.1.                      Throughout the Term and for one (1) year thereafter, Company shall have the right, upon reasonable prior notice and during normal business hours, to audit, by itself or by any authorized representative on its behalf, Customer’s use of the ClearMash Platforms, to ensure compliance with the terms of this Agreement, including without limitation in relation to any usage restrictions and approved number of Authorized Users. Such audit may be conducted remotely through system logs, usage reports, or other technical means, or, if necessary, on-site at Customer’s premises.

12.2.                      If an audit reveals that Customer has exceeded the permitted usage or number of authorized users, Customer shall promptly pay to Company all applicable overage fees at the Company’s then-current rates, together with any reasonable costs incurred by the Company in conducting the audit, upon receipt of an invoice from Company.

13.   Disclaimers

13.1.                      THE CLEARMASH PLATFORMS ARE PROVIDED "AS IS." TO THE MAXIMUM EXTENT PERMITTED BY LAW, CLEARMASH EXPRESSLY DISCLAIMS ANY AND ALL WARRANTIES, CONDITIONS, REPRESENTATIONS, AND GUARANTEES WITH RESPECT TO THE CLEARMASH PLATFORMS, WHETHER EXPRESS OR IMPLIED, ARISING BY LAW, CUSTOM, TRADE USAGE, PRIOR ORAL OR WRITTEN STATEMENTS, OR OTHERWISE, INCLUDING, WITHOUT LIMITATION, ANY WARRANTY OF MERCHANTABILITY, FITNESS FOR A PARTICULAR PURPOSE, NON-INFRINGEMENT, EXPECTED RESULT, QUALITY, TITLE, PERFORMANCE, SECURITY, OR COMPATIBILITY. NO REPRESENTATION OR OTHER AFFIRMATION OF FACT, WHETHER MADE BY CLEARMASH, A REPRESENTATIVE, OR OTHERWISE, WHICH IS NOT EXPRESSLY PROVIDED IN THIS AGREEMENT, SHALL BE DEEMED TO BE WARRANTY BY CLEARMASH FOR ANY PURPOSE, OR GIVE RISE TO ANY LIABILITY OF CLEARMASH WHATSOEVER.

13.2.                      CLEARMASH DOES NOT WARRANT OR GUARANTEE THE ACCURACY OR CORRECTNESS OF ANY RESULTS PRODUCED THROUGH USE OF THE CLEARMASH PLATFORMS. CUSTOMER ACKNOWLEDGES THAT THE CLEARMASH PLATFORMS MAY CONTAIN ERRORS, DEFECTS, OR BUGS THAT MAY CAUSE INACCURATE OR INCORRECT RESULTS. CUSTOMER IS SOLELY AND FULLY RESPONSIBLE FOR ALL CONTENT UPLOADED TO OR MADE AVAILABLE THROUGH THE CLEARMASH PLATFORMS. CLEARMASH DISCLAIMS ANY WARRANTY IN RELATION TO OR LIABILITY FOR ERRORS, DEFECTS, BUGS, OR OMISSIONS IN THE CLEARMASH PLATFORMS OR ITS FEATURES.

13.3.                      SOME OF THE OUTPUT GENERATED BY THE CLEARMASH PLATFORMS IS GENERATED USING ARTIFICIAL INTELLIGENCE (AI) TOOLS. THE FIELD OF AI AND MACHINE LEARNING IS CONSTANTLY EVOLVING, CHANGING, AND IMPROVING. ALTHOUGH CLEARMASH MAKES CONSTANT EFFORTS TO IMPROVE THE QUALITY AND ACCURACY OF THE CLEARMASH PLATFORMS' OPERATIONS AND ENDEAVORS TO APPLY CONTINUOUS HUMAN REVIEW AND OVERSIGHT, DUE TO THE NATURE OF SUCH TECHNOLOGY, CLEARMASH CANNOT GUARANTEE THAT THE OUTPUT WILL ALWAYS BE ACCURATE, COMPLETE, OR CORRECT. CLEARMASH DISCLAIMS ANY WARRANTY IN RELATION TO OR LIABILITY FOR ERRORS OR OMISSIONS IN THE OUTPUT GENERATED BY THE CLEARMASH PLATFORMS.

13.4.                      CUSTOMER SHALL BE RESPONSIBLE FOR EVALUATING THE ACCURACY, COMPLETENESS, AND RELEVANCE OF THE OUTPUT. CUSTOMER'S USE OF, AND RELIANCE UPON, THE CLEARMASH PLATFORMS AND THE OUTPUT SHALL BE SOLELY AT CUSTOMER'S OWN RISK. COMPANY ASSUMES FULL RESPONSIBILITY FOR ANY LOSS OR DAMAGE ARISING FROM OR IN RELATION TO CUSTOMER AND ITS AUTHORIZED USERS' USE OF THE CLEARMASH PLATFORMS AND OUTPUT.

14.   Limitation of liability

14.1.                      TO THE MAXIMUM EXTENT PERMITTED BY APPLICABLE LAW, COMPANY AND ITS EMPLOYEES, DIRECTORS, OFFICERS, SHAREHOLDERS, LICENSORS, ADVISORS, AND ANYONE ACTING ON THEIR BEHALF (COLLECTIVELY, "STAFF"), WILL NOT BE LIABLE FOR ANY INDIRECT, INCIDENTAL, CONSEQUENTIAL, SPECIAL, STATUTORY, OR PUNITIVE DAMAGES, LOSSES (INCLUDING LOSS OF PROFIT AND LOSS OF DATA), COSTS, EXPENSES, AND PAYMENTS, EITHER IN TORT (INCLUDING NEGLIGENCE), CONTRACT, OR IN ANY OTHER FORM OR THEORY OF LIABILITY, ARISING FROM OR IN CONNECTION WITH THIS AGREEMENT AND THE CLEARMASH PLATFORMS, EVEN IF COMPANY IS ADVISED OF THE POSSIBILITY OF SUCH DAMAGE, LOSS, COSTS, EXPENSES, OR PAYMENTS.

14.2.                      WITHOUT DEROGATING FROM THE AFORESAID, IN NO EVENT WILL COMPANY'S CUMULATIVE LIABILITY (I) TO CUSTOMER, EXCEED THE AMOUNT PAID OR PAYABLE TO COMPANY BY CUSTOMER DURING THE THREE (3) MONTHS PRECEDING THE FIRST EVENT GIVING RISE TO SUCH LIABILITY, AND (II) TO AN AUTHORIZED USER, EXCEED THE AMOUNT SPECIFIED IN THE API TERMS OF USE OR THE GENERAL TERMS OF USE (AS APPLICABLE) .

15.   Indemnity

15.1.                      Company shall indemnify, defend and hold harmless Customer and its directors, officers, employees and independent contractors (“Customer Indemnified Parties”) from and against any and all costs, liabilities, losses and expenses, incurred by a Customer Indemnified Party, including, but not limited to, reasonable attorneys’ fees, resulting from any claim, suit or action brought by a third party against a Customer Indemnified Party alleging that the ClearMash Platforms infringe or misappropriate any currently existing Intellectual Property Rights.

15.2.                      If Company suspects, in its sole discretion, that an actual or anticipated plea or claim of Intellectual Property Rights infringement may arise in relation to any ClearMash Platform, Company may, at its option and expense: (i) obtain for Customer the right to continue using the applicable ClearMash Platform; (ii) replace or modify the applicable ClearMash Platform so that it is no longer subject to such plea or claim, but performs the same functions in an equivalent manner; and (iii) if neither of the foregoing options are commercially practicable, terminate this Agreement and refund Customer a prorated portion of any pre-paid Fees paid by Customer as of the date of termination.

15.3.                      Company's obligations pursuant to Sections 15.1-15.2 hereto shall not apply to: (i) Customer or its Authorized Users' negligence, abuse or misapplication of any ClearMash Platform; (ii) Customer or its Authorized Users' use of any ClearMash Platform other than as specified in this Agreement and any of its Appendixes and Addendums, or in the ClearMash General Terms of Use; (iii) any alterations, modifications or adaptations of any ClearMash Platform performed by anyone other than Company; (iv) any unauthorized combination or interfacing of the any ClearMash Platform with other hardware or software; or (v) causes beyond the reasonable control of Company. SECTIONS 15.1-15.3 HERETO STATE CUSTOMER’S SOLE AND EXCLUSIVE REMEDIES FOR INFRINGEMENT OR CLAIMS ALLEGING INFRINGEMENT IN CONNECTION WITH THE CLEARMASH PLATFORMS.

15.4.                      Customer shall indemnify, defend and hold harmless Company, and its directors, officers, employees and independent contractors (the “Company Indemnified Parties”) from and against any and all costs, liabilities, losses and expenses, incurred by a Company Indemnified Party, including, but not limited to, reasonable attorneys’ fees, resulting from any claim, suit or action brought by a third party against a Company Indemnified Party relating to: (a) Customer or its Authorized Users' breach of its obligations under this Agreement; (b) infringement or misappropriation of any Intellectual Property Rights by Customer and its Authorized Users in connection with their use of the ClearMash Platforms; and (c) Customer or its Authorized Users’ breach of any applicable laws and regulations in connection with their use of the ClearMash Platforms hereunder.

15.5.                      The foregoing indemnification obligations are dependent upon the party seeking indemnification (“Indemnitee”) providing the indemnifying party (“Indemnitor”) with (i) prompt written notice of any indemnifiable claim, provided that an Indemnitee’s failure to promptly notify the Indemnitor will not affect the Indemnitor’s obligations hereunder except to the extent that such delay prejudices Indemnitor’s ability to defend such claim ; (ii) all reasonable assistance and cooperation in the defense of such indemnifiable claim and any related settlement negotiations, at the Indemnitor’s expense; and (iii) exclusive control over the defense of such indemnifiable claim and any related settlement negotiations, provided that the Indemnitor will not enter into any settlement that adversely affects Indemnitee’s rights without the Indemnitee’s prior written consent (which shall not be unreasonably withheld). The Indemnitee will have the right, at its own expense, to participate in the defense (and related settlement negotiations) of any indemnifiable claim with counsel of its own selection. 

16.   Governing law and jurisdiction

16.1.                      This Agreement shall be governed by and construed in accordance with the laws of the State of Israel, without reference to its conflict of laws rules. The parties agree that the sole and exclusive jurisdiction for any dispute arising out of or relating to this Agreement lies within the courts of the Tel Aviv district, Israel.

16.2.                      Notwithstanding the foregoing, a party may lodge a claim against the other party: (a) pursuant to the indemnity clause above, in any court adjudicating a third party claim against the other party; and (b) for interim, emergency or injunctive relief, in any other court having general jurisdiction over the other party.

17.   Miscellaneous.

17.1. Ethical Business Practices. The parties represent, warrant, and undertake that, in relation to this Agreement, they will not, directly or indirectly, offer, promise, authorize, give, solicit, or accept any undue financial or other advantage, payment, gift, or benefit of any kind for the purpose of improperly influencing any act or decision, securing any improper advantage, or inducing the improper performance of any function or activity. If either party becomes aware of any actual or suspected breach of this section 17.1, it shall promptly notify the other party and cooperate in good faith to address and remediate the matter.

17.2. Order of Precedence. In the event of any conflict or inconsistency between the terms of the following documents, the order of precedence shall be as follows (with the document listed first prevailing over those listed subsequently):

1.       The SOW (if applicable)

2.       The Order Form;

3.       The DPA (solely with respect to processing of personal data);

4.       This Agreement;

5.       The API Terms of Use (solely with respect to use of the ClearMash API);

6.       The ClearMash General Terms of Use.

17.3. Assignment. Neither party may assign or delegate, any of its rights or obligations under this Agreement without the prior written consent of the other party, provided that Company may assign its rights and obligations under this Agreement to a purchaser of all or substantially all of its assets or share capital relating to this Agreement.

17.4. Independent Contractors.  The parties are independent contractors.  Neither party shall be deemed to be an employee, agent, partner or legal representative of the other for any purpose and neither shall have any right, power or authority to create any obligation or responsibility on behalf of the other.

17.5. Force Majeure. Except for Customer’s obligation to make payment of any Fees due and owing hereunder, neither party shall be liable for any failure or delay in the performance of its obligations hereunder on account of strikes, shortages, riots, insurrection, fires, flood, storm, explosions, earthquakes, telecommunications outages, acts of God, war or military operation, terrorism, governmental action, or any other cause which is beyond the reasonable control of such party (each, a "Force Majeure Event").

If a Force Majeure Event persist for more than sixty (60) consecutive days, either party may terminate this Agreement with immediate effect upon written notice to the other party.

17.6. Waiver. The failure of either party to require performance by the other party of any provision shall not affect the full right to require such performance at any time thereafter; nor shall the waiver by either party of a breach of any provision hereof be taken or held to be a waiver of the provision itself.

17.7. Severability. If any provision of this Agreement is held by a court of competent jurisdiction to be contrary to law, such provision shall be changed and interpreted so as to best accomplish the objectives of the original provision to the fullest extent allowed by law and the remaining provisions of this Agreement shall remain in full force and effect.

17.8. Entire Agreement. This Agreement and all the Appendixes and Addendums hereto, constitute the entire and exclusive statement of the understanding between the parties with respect to the subject matter hereof. This Agreement supersedes, and the terms of this Agreement govern, any other prior or collateral agreements with respect to the subject matter hereof.  Any amendments to this Agreement must be in writing and executed by both parties.


Appendix A – Service Levels Agreement

1.       Definitions

1.1.   "Availability" shall have the meaning ascribed to it in Section 3.1 of this Appendix A.

1.2.   "Business Hours" means Sunday to Thursday, 8:00 AM – 17:00 PM Israel local time on a Business Day.

1.3.   "Business Day" means any day from Sunday through Thursday on which commercial banks in Israel are open for general business, and excludes: (i) Fridays and Saturdays, (ii) any official public holiday in Israel, (iii) the eve of any official public holiday in Israel, and (iv) any day (or part of a day) on which the relevant Israeli securities market or clearing and settlement system is closed due to market vacation, market-wide closure, or similar event.

1.4.   "Critical Incident" means an incident that has rendered a ClearMash Platform materially non-functional.

1.5.   "Emergency Maintenance" means maintenance operations intended to fix a Critical Incident or Major Incident, that require the suspension of a ClearMash Platform's operation.

1.6.   "Incident" means either a Critical Incident, Major Incident or Minor Incident, as the case may be.

1.7.   "Initial Response" means the first response provided by Company support personnel to an Incident reported by Customer, that does not necessarily include a Solution.

1.8.   "Major Incident" means an incident that has rendered a ClearMash Platform partially usable, with some features and functions non-functioning.

1.9.   "Minor Incident" means any incident other than a Critical Incident or a Major Incident.

1.10.                      "Off-Peak Hours" means any time between 23:00 and 6:00 Israel local time.

1.11.                      "Scheduled Downtime" is any period during which Company suspends the operation of the ClearMash Platforms for periodic maintenance purposes.

1.12.                      "Solution" means any actions and procedures taken to circumvent or overcome the impact of an Incident.

1.13.                      "Unscheduled Downtime" means any period during which Company suspends the operation of the ClearMash Platforms, other than: (i) Scheduled Downtime; (ii) downtime caused by factors outside the Company’s reasonable control, including Force Majeure Events, internet or network provider failures, or third-party service interruptions; (iii) downtime resulting from Customer’s acts or omissions.

Capitalized terms used herein but not specifically defined herein shall have the meanings ascribed to them in the Agreement.

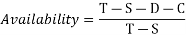
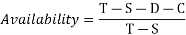
2.       Availability

2.1.   Definition of Availability

The Availability of the ClearMash Platforms shall be calculated on a monthly basis, according to the following calculation:

521ea4d0f1c34be199464244ec69c88f;image/png;2355;blob

Whereas:

T = the total number of minutes in the respective month, excluding Off Peak Hours;

D = the total number of minutes of Unscheduled Downtime in the respective month;

S = the total number of minutes of Scheduled Downtime in the respective month;

C = the total number of minutes in the respective month in which a ClearMash Platform had a Critical Incident.

2.2.   Availability Warranty

Company shall make the ClearMash Platforms available and maintain their functionality to Customer and its Authorized Users, with a monthly Availability level of at least 99.5% (ninety nine point five percent).

2.3.   Scheduled Downtime

Company shall use commercially reasonable efforts to minimize the Scheduled Downtime duration and limit Scheduled Downtime to Off-Peak hours only, and provide Customer with a prior notice thereof.

The total cumulative duration of Scheduled Downtime in any calendar month shall not exceed eight (8) hours.

2.4.   Emergency Maintenance

Company shall use commercially reasonable efforts to conduct Emergency Maintenance during Off-Peak Hours and upon written notice thereof to Customer by email.

The total cumulative duration of Emergency Maintenance in any calendar month shall not exceed two (2) hours.

3.       Incident Resolution

3.1.   The following Initial Response and resolution times shall apply for each Incident categories:

Incident Category

Initial Response (within Business Hours)

Resolution time

Critical Incident

Within 1 hour 

Continuous work from Initial Response and until a Solution is implemented or applied to the affected ClearMash Platform (or any part thereof)

Major Incident

Within 8 hours

Continuous work (within work hours) from Initial Response and until a Solution is available. Once a Solution is available, Company shall implement or apply it to the affected ClearMash Platform (or any part thereof) within 12 hours.

Minor Incident

Next Business Day

Upon next major release of an update to the ClearMash Platforms.

 

3.2.   No Incident shall be considered resolved until both parties have reasonably determined and agreed that the Incident has been fully resolved.

4.       Support Availability and Contacts

The Company's support team may be contacted during Business Hours through the following channels:

(a) by email at [email protected] for any support questions or requests.

(b) by email at [email protected] for any requests for billable changes based on an agreed SOW.

(c) by email at [email protected] for any support questions or requests for developers using the API.

(d) by a contact form on ClearMash’s website.

(e) by contact form in ClearMash’s support platform.

(e) by contact form in ClearMash’s developers platform.

 

5.       Remedies

If Company fails to meet the Availability warranty provided in section 2.2 above during any given calendar month, Customer shall be entitled to receive the following compensation:

Availability

Compensation

 99.5% > A ≥ 99.0%

Service credits in the amount of 1% of the Fees for the respective calendar month.

(II) 99.0% > A ≥ 97.0%

Service credits in the amount of 1.5% of the Fees for the respective calendar month.

(III) 97.0% > A ≥ 95.0%

Service credits in the amount of 2% of the Fees for the respective calendar month.

95.0% > A ≥ 94.0%

Service credits in the amount of 2.5% of the Fees for the respective calendar month.

94.0% > A ≥ 92.0%

Service credits in the amount of 3% of the Fees for the respective calendar month.

92.0% > A ≥ 90.0%

Service credits in the amount of 3.5% of the Fees for the respective calendar month.

90.0% > A

(i) Service credits in the amount of 5% of the Fees for the respective calendar month; and (ii) the right to terminate the Agreement subject to a fourteen (14) day prior written notice to Company.

if Company fails to meet the Availability warranty for any three (3) consecutive months, the Customer shall be entitled to terminate this Agreement upon written notice to Company, with immediate effect.

The above compensation constitutes the Customer's entire and sole remedy for Company's failure to meet the Availability warranty.

6.       SLA Reporting

Upon Customer's reasonable written request, Company will provide Customer with a report summarizing statistics and relevant details of all Incidents that occurred on the ClearMash Platforms in the preceding calendar month.

 

 

 

אנו משתמשים בקבצי Cookie כדי להבטיח שתקבל את חוויית השימוש הטובה ביותר באתר. בלחיצה על "אישור" אתם מסכימים לשימוש שלנו בקבצי Cookie.
למידע נוסף ניתן לעיין במדיניות ה Cookies שלנו.
תמיכה
אנו משתמשים בקבצי Cookie כדי להבטיח שתקבל את חוויית השימוש הטובה ביותר באתר. בלחיצה על "אישור" אתם מסכימים לשימוש שלנו בקבצי Cookie.
למידע נוסף ניתן לעיין במדיניות ה Cookies שלנו.
אישור
דחייה
מוצרים
קלירמאש מנטור
קלירמאש איזי
פתרונות לפי תעשייה
ארגונים פיננסים
ארגוני בריאות
ממשל ועיריות
תשתיות לאומיות
תקשורת וסלולר
תחבורה ותעופה
תוכנה וחומרה
מוצרי צריכה וקמעונאות
מוסדות אקדמיה ומחקר
תיירות
פתרונות לפי תהליכים ארגוניים
ניהול ידע להעצמת שירות לקוחות
ניהול ידע להעצמת מכירות
ניהול ידע להעצמת תמיכה טכנית ללקוחות
ניהול ידע להעצמת תמיכה טכנית פנים ארגונית
ניהול נהלים ורגולציה
ניהול למידה ארגונית
ניהול קטלוג מוצרים פיננסיים
ניהול ידע ופורטל ארגוני
ניהול ידע למשאבי אנוש - מוקד שירות לעובד
תמיכה
תמיכה טכנית
תמיכה במפתחים
אודות
למה קלירמאש?
על החברה
בואו לעבוד אצלנו
אבטחת מידע
מידע משפטי

January 2026


This Master Services Agreement ("Agreement") constitutes a binding contract between the entity identified in the Order Form as the customer (“Customer”) and ClearMash Solutions Ltd. (“Company”), in relation to the Company's solution for organizational knowledge management, as provided through the ClearMash Platforms (as defined below).

Please read this Agreement carefully before using the ClearMash Platforms. By using the ClearMash Platforms, you indicate that you have read and agree to this Agreement, the Data Processing Addendum (DPA), the Privacy Policy and any other document incorporated by reference herein.

1.       Definitions

1.1.   "Authorized Users" means those employees, consultants and any third parties (whether from within Customer's organization or not) that Customer designates and authorizes to use and deal with the ClearMash Platforms on its behalf.

1.2.   "ClearMash Platform(s)" means the Main Platform, the Developers Platform and the Support Platform, any or all.

1.3.   "Customer Data" means any data derived automatically from Customer's systems and any data the Customer manually uploads to the ClearMash Platforms or modifies using the ClearMash Platforms, whether it concerns Individuals or otherwise.

1.4.   "Developers Platform" means ClearMash's proprietary web-based platform intended to assist Customers' developers in the operation of the Main Platform.

1.5.   "Feedback" means any review or information provided by Customer concerning any of the ClearMash Platforms, including information pertaining to bugs, errors and malfunctions, performance, or any enhancements, changes, or additions, whether provided orally, in writing or otherwise.

1.6.   "Fees" shall have the meaning ascribed to it in Section 7.1 below.

1.7.   "Intellectual Property Rights” means any and all rights in, arising out of, or associated with: (i) all patents and utility models and applications therefore, and all reissues, divisions, re-examinations, renewals, extensions, provisional, continuations, and equivalent or similar rights anywhere in the world in inventions and discoveries including without limitation invention disclosures; (ii) all copyrights, copyright registrations and applications therefore, and all other rights corresponding thereto throughout the world, including without limitation “moral” rights; (iii) all industrial designs and any registrations and applications therefore throughout the world; (iv) mask works, mask work registrations and applications therefore, and all other rights corresponding thereto throughout the world; (v) all trade secrets and other rights in know-how and confidential or proprietary information; and (vi) any similar, corresponding, or  equivalent rights to any of the foregoing anywhere in the world.

1.8.   "Main Platform" means ClearMash's proprietary web-based, AI-driven knowledge-management Platform, which manages company knowledge (also known as ClearMash Mentor) and provide self service knowledge base (also known as ClearMash Care).

1.9.   "Order Form" means the order form executed by the parties in relation to this Agreement.

1.10.                      "Output" means any metadata, insights, reports, or other information the ClearMash Platforms generate based on the Customer Data. 

1.11.                      "SOW" means the Statement of Work executed by the parties, if executed.

1.12.                      "Support Platform" means ClearMash's proprietary web-based platform intended to assist Customer's Authorized Users in the operation of the Main Platform.

1.13.                      "Term" shall have the meaning ascribed to it in the applicable Order Form.

1.14.                      "Testimonial" means any statement, endorsement, review, comment, or other communication, whether written, oral or recorded in any medium, provided by the Customer or its Authorized Users regarding their experience with, or opinions about, the ClearMash Platforms, the Company or any other services it provides.

2.       Grant of License; Restrictions

2.1.   Subject to this Agreement, ClearMash grants Customer, a limited, non-exclusive, worldwide, non-sublicensable, non-transferable, and revocable license to access and use the ClearMash Platforms, from the Effective Date and throughout the Term of the Agreement (the "License"). Customer shall use the ClearMash Platforms for Customer's internal business and organizational purposes only, unless the parties agree otherwise in writing. All rights not specifically granted to Customer herein are exclusively reserved to ClearMash.

2.2.   Access to and use of the ClearMash Platforms is further subject to ClearMash General Terms of Use, available at https://legal.clearmash.com/GeneralTermsofUse.htm?lang=he, as may be updated by the Company from time to time.

2.3.   User accounts provided to Customer under the License shall be individually named and assigned to specific Authorized Users, at Customer's choice. User accounts may only be transferred to, used by, or shared with, other individuals or employees, within the Customer’s organization, or outside the Customer’s organization, upon Company's written approval.

2.4.   Customer acknowledges that the License is limited to the number of user accounts specified in the Order Form or the SOW (as applicable). In the event that Customer exceeds the agreed number of user accounts at any time during the Term, Customer hereby authorizes Company to charge Customer for such excess usage, upon written notice to Customer. Overage charges shall be calculated based on the Company's then-current rates for additional users and shall be prorated for the applicable billing period.

2.5.   Customer covenants that Customer and its Authorized Users will use the ClearMash Platforms only in compliance with all applicable laws and regulations, this Agreement and the ClearMash General Terms of Use. Customer shall be liable to Company for all acts or omissions of Customer's Authorized Users.

2.6.   If Customer allows, in its sole discretion, Authorized Users from outside Customer's organization to use the ClearMash Platforms, including (without limitation) its customers ("External Authorized Users"): (i) Customer shall be liable to Company for all acts or omissions of External Authorized Users; (ii) Customer shall be solely liable for providing External Authorized Users with the ClearMash General Terms of Use, and for providing any updated versions of the General Terms of Use in the future; (iii) Customer shall be solely liable for providing External Authorized Users with a privacy policy, for obtaining their explicit consent to the processing of their data and sharing it with Company, and recording such consent.

2.7.   When using the ClearMash Platforms, Customer and its Authorized Users shall not, and shall not allow others to: (i) attempt to circumvent, bypass, or deactivate security or protection measures of the ClearMash Platforms; (ii) use the ClearMash Platforms to develop or create an application, website, or any other product similar to, or competing with, the ClearMash Platforms; (iii) use the ClearMash Platforms, or any part thereof, for the purpose of benchmarking, performance testing, or comparing the ClearMash Platforms with any other products or services; (iv) attempt to compromise information security on the ClearMash Platforms or in any network or server used by Company, attempt to uncover information security vulnerabilities, or attempt to engage in any form of probing, scanning, crawling, robotic navigating, or hacking of the ClearMash Platforms; (v) attempt to access the ClearMash Platforms, download any information, or use any information on the ClearMash Platforms through an automated or mechanized process; (vi) attempt to activate or access features or capabilities that are undocumented, not ordinarily accessible, or deactivated in the ClearMash Platforms; (vii) attempt to engage in reverse-engineering, modifying, translating, replacing or reverse-compiling, disassembling, or decompiling of the ClearMash Platforms or any of its parts; (viii) use the ClearMash Platforms in any manner that may give rise to a criminal offense, civil tort, infringement, or violation of the rights of any third party; (ix) attempt to burden or interfere with the operation of the systems related to the operation of the ClearMash Platforms; (x) use the ClearMash Platforms to send or introduce into the Company or any third party's system, any virus, worm, Trojan horse or other malicious or harmful code or attachment; (xi) use the ClearMash Platforms for or in connection with any action that may encourage or constitute a threat, harassment, or fraud, or in connection with any high-risk activity (including, without limitation, life-support systems, emergency services, air traffic control, nuclear facilities, or any other use where failure or malfunction could reasonably result in death, personal injury, or severe damage); (xii) use the ClearMash Platforms to send unsolicited or unauthorized messages; (xiii) perform any action that may violate any applicable anti-spam and electronic communications laws and regulations; (xiv) use the ClearMash Platforms in violation of the provisions of this Agreement.

2.8.   Customer acknowledges that Company may (but is under no obligation to) employ technological measures to detect and prevent fraudulent or abusive use of the ClearMash Platforms. Company may suspend or block the access of an Authorized User to the ClearMash Platforms upon written notice, if Company, in its sole discretion, suspects that the Authorized User has abused their right to use the ClearMash Platform under this Agreement.

3.       API

3.1.   Access to and use of any application programming interfaces (“APIs”) provided by Company in connection with the ClearMash Platforms, shall be subject to the API terms and conditions, available at https://legal.clearmash.com/APITermsofUse.htm?lang=he, as may be updated by the Company from time to time. Customer and its Authorized Users’ access to or use of the APIs constitutes acceptance of the applicable API terms and conditions.

3.2.   Unless agreed otherwise in writing, Customer is strictly prohibited from sublicensing, assigning, providing access to or otherwise distributing the API in any manner, other than to its employees who Customer assigns to use the API. A breach of this provision shall be considered material breach of this Agreement.

Without derogating from the foregoing, if Customer permits any vendor, end user or third party outside Customer's organization to access and use the API, then Customer is solely responsible for: (i) any action or omission by such third party in relation to the use of the API; and (ii) providing the API Terms of Use to such third party and ensuring that third party's compliance with the provisions therein. Customer is strictly prohibited from (i) making any representations and/or warranties to any third party on behalf of Company; and (ii) presenting the API as a component or a part of Customer's or any third party's product or service. 

4.       Support

Company shall provide Customer with maintenance and support services as stipulated in the Service Levels Agreement attached hereto as Appendix A to this Agreement ("SLA"). Unless otherwise agreed by the parties, the maintenance and support services described in the SLA will be provided at no additional cost to Customer.

5.       Professional Services

5.1.   From time to time, the Customer may elect to engage the Company to provide Professional Services, in which case the parties will execute a separate order form. The Professional Services shall be provided under and governed by the terms of this Agreement, the order form and any other applicable terms.

For the purpose of this section, "Professional Services" means any services provided by Company in relation to the ClearMash Platforms, including, without limitation, consulting, integration, training, or other advisory or professional activities.

5.2.   The provision of Professional Services will be subject to additional fees, as specified in the applicable order form.

6.       Security; Accessibility

6.1.   Company implements and maintains appropriate technical and organizational security measures to protect the confidentiality, integrity, and availability of all the ClearMash Platforms and the data therein. A list of the security measures we implement is available on our website, at https://www.clearmash.co.il/skn/he/c6/e288/אבטחת_מידע.

Notwithstanding the foregoing and without derogating from Company's responsibilities herein, Customer shall implement and maintain appropriate security measures on its end, including but not limited to: (i) ensuring that all Authorized Users maintain the confidentiality of their login credentials; (ii) implementing appropriate access controls and user management practices within Customer's organization; and (iii) ensuring that Customer's systems and networks used to access the ClearMash Platforms are adequately secured and protected against malware and other security threats.

6.2.   Company represents and warrants that the ClearMash platforms are designed and developed to conform, in all material respects, to the Web Content Accessibility Guidelines (WCAG) Level AA standard. The Company will use commercially reasonable efforts to maintain such conformance throughout the Term.

7.       Fees

7.1.   In consideration of the License, Customer shall pay Company a fee in the amounts and terms stipulated in the Order Form or the SOW (as applicable) ("Fees").

7.2.   All Customer's payment obligations are non-cancelable, and all amounts paid in connection with this Agreement are non-refundable. Except in the case of termination due to Company's material breach of this Agreement, Customer shall not be entitled to any refund (pro-rata or otherwise), for any fees it paid for the terminated Agreement.

7.3.   Each party shall be responsible for and shall pay all taxes, duties, levies, or similar governmental assessments of any nature (including, without limitation, value-added, sales, use, or withholding taxes) imposed in connection with its performance under this Agreement, except for taxes based on the other party’s net income.

7.4.   If Customer disputes, in good faith, any portion of the Fees, Customer shall notify the Company in writing within fifteen (15) days of the invoice date, specifying the amount in dispute and the basis for such dispute. Failure by Customer to provide timely written notice of a billing dispute shall constitute acceptance of the corresponding invoice as accurate and due in full.

The parties shall cooperate in good faith to resolve any billing dispute promptly, and in any event within thirty (30) days. All undisputed amounts remain due and payable.

7.5.   Any undisputed Fees that Customer did not pay within their due date are deemed overdue Fees. Failure to settle overdue Fees within fourteen (14) calendar days of their original due date will constitute a material breach of this Agreement. Without derogating from any other rights and remedies available to Company under applicable law in connection therewith, Company may, at its option and sole discretion: (i) suspend Authorized Users' access to the ClearMash Platforms; and/or (ii) collect interest from Customer at the lower of the rate of 0.75% per month or the maximum interest rate under applicable law on all overdue Fees. Customer agrees to reimburse Company for reasonable legal costs and reasonable attorney fees actually incurred in the course of collecting overdue Fees.

8.       Customer Data

8.1.   Customer is solely liable for the Customer Data it provides to Company through the ClearMash Platforms. By providing Customer Data to Company, Customer represents and warrants that the Customer Data: (i) only includes true, accurate, and complete details. Customer acknowledges that false, incorrect, or outdated information may impair Company's ability to provide Customer its services; (ii) does not contain any confidential information of third parties, including (without limitation) Customer's customers; (iii) does not infringe any third-party rights, including (without limitation) Intellectual Property Rights; (iv) does not include any personal data; and (v) does not include any content that is harmful or that may constitute or give rise to a criminal offense or a civil tort.

8.2.   Customer authorizes and instructs Company to process Customer Data to: (i) provide Customer with access to the ClearMash Platforms and their functions; (ii) generate the Output; (iii) provide support to Customer in the operation of the ClearMash Platforms, at Customer's request; and (iv) improve, and enhance the ClearMash Platforms, including by way of training of its Artificial Intelligence models, and develop or enhance any additional services or products, and market them or conduct product demonstrations to third parties, at no charge to Customer. Such use shall not disclose any confidential information of the Customer (all together: the "Purposes").

8.3.   Where Customer Data includes personal data of any individual: (i) Customer must promptly notify Company thereof in writing; (ii) Customer must obtain data subjects' consent prior to providing the Customer Data to Company; and (ii) the parties shall execute a Data Processing Addendum and abide by it and any applicable data privacy laws.

9.       Intellectual Property

9.1.   All Intellectual Property Rights in and to the ClearMash Platform, including Company's databases and the ClearMash Platforms’ design, graphics, computer code, algorithms, and “look and feel” (and except for Customer Data and Output), are the exclusive property of Company or its licensors (collectively: “Company IP”).

9.2.   Other than as expressly permitted in this Agreement, Customer and its Authorized Users may not, either directly or by a third party on their behalf, copy, distribute, display or perform publicly, sublicense, decompile, disassemble, reduce to human readable form, execute publicly, make available to the public, adapt, make commercial use of, process, compile, translate, sell, lend, rent, reverse engineer, combine with other software, modify or create derivative works of, the Company IP or any part thereof, in any way or by any means.

9.3.   Customer owns all Intellectual Property Rights in and to the Customer Data and Output. By using the ClearMash Platforms, Customer hereby grants Company a worldwide, sublicensable license to use the Customer Data and the Output for the Purposes.

9.4.   By providing Feedback or Testimonials to Company, Customer irrevocably transfers and assigns to Company all Intellectual Property Rights in and to any Feedback and Testimonials and waives any and all moral rights that Customer or its Authorized Users may have in respect thereto.

9.5.   Unless Customer notifies Company otherwise in writing, Company may identify Customer as a customer of the Company that uses the ClearMash Platforms, including on Company's website and in online or offline marketing materials. Customer hereby grants Company a worldwide, non-exclusive, non-transferable, royalty-free, and free of charge license to use the Customer's name, logo, and website URL, solely for the purpose of identifying Customer as the Company's customer, as described herein.

9.6.   Customer may not, without Company’s prior written consent in each instance, (a) use or display Company’s name, trademarks, logos, or website URL, or (b) publish or disseminate any testimonial, endorsement, review, rating, case study, quote, press release, or other public statement relating to Company or the ClearMash Platforms, whether online or offline. If Company provides such prior written consent, Company grants Customer a worldwide, non-exclusive, non-transferable, royalty-free license to use Company’s name, logo, and website URL solely to the extent and for the purpose expressly approved in writing by Company. Any approval may be withheld in the Company’s sole discretion and may be revoked by the Company at any time upon written notice, after which Customer will promptly cease the approved use and remove the applicable materials to the extent commercially practicable.

10.   Confidentiality

10.1.                      Confidential Information” shall mean any and all information disclosed by one party (”Disclosing Party”) to the other (”Receiving Party”) whether disclosed orally, in writing, electronically, visually, or in any other form, regarding past, present, or future marketing and business plans, customer lists, lists of prospective customers, technical, financial, operational, or other proprietary or confidential information of the Disclosing Party, formulae, concepts, discoveries, data, designs, ideas, inventions, methods, models, research plans, procedures, , formulations, processes, specifications and techniques, prototypes, samples, analyses, computer programs and/or software, trade secrets, data, methodologies, techniques, non-published patent applications, and any other data or information, and improvements and know-how related thereto. For the avoidance of doubt, any proprietary content, materials, documentation, or information provided by Company or made available through, or relating to, the ClearMash Platforms (other than the Customer Data and Output), including any non-public features, functionalities, user interfaces, configurations, or other elements of the ClearMash Platforms, shall be Company's Confidential Information.

10.2.                      Each Party herein must hold any Confidential Information in confidence using the same degree of care, but at least a reasonable degree of care, that it uses to prevent the unauthorized disclosure of its own Confidential Information. The Receiving Party may use Confidential Information only for the purpose of performing its obligations under this Agreement.

10.3.                      The obligations set forth in this section shall not apply to information that: (i) is now or subsequently becomes generally available in the public domain through no fault or breach on Receiving Party's part; (ii) Receiving Party can demonstrate in its prior established records to have had rightfully in Receiving Party's possession prior to disclosure of the same by the Disclosing Party; (iii) Receiving Party can demonstrate by written records that it had rightfully obtained the same from a third party who has the right to transfer or disclose it, without default or breach of confidentiality obligations; (iv) Disclosing Party has provided its prior written approval for disclosure; or (v) Receiving Party is required to disclose pursuant to a binding order or request by a court or other governmental authority, or a binding provision of applicable law, provided that, to the extent permissible, Receiving Party provides the Disclosing Party notice of the requested disclosure as soon as practicable, to allow the Disclosing Party, if it so chooses, to seek an appropriate protective or preventive order.

11.   Term and Termination

11.1.                      This Agreement will be in effect from the date of signing the Order Form and for the duration of the Term defined therein. The Agreement shall automatically renew under the terms stipulated in the Order Form.

11.2.                      Either party may terminate this Agreement:

11.2.1.   for material breach of this Agreement by the other party, by written notice to the party in breach with immediate effect, if the breaching party failed to cure such breach within fifteen (15) days of receiving written notice thereof from the other party.

11.2.2.   Immediately upon written notice to the other party, if that party: (i) becomes or is declared insolvent or bankrupt; (ii) is the subject of any proceeding related to its liquidation or insolvency (whether voluntary or involuntary) which proceedings are not dismissed within sixty (60) days of their commencement; (iii) makes an assignment for the benefit of creditors; or (iv) takes or is subject to any such other comparable action in any relevant jurisdiction.

11.3.                      Following termination of this Agreement:

11.3.1.   Company will terminate Customer and its Authorized Users' access to the ClearMash Platforms;

11.3.2.   Customer may ask to retrieve its data from the ClearMash Platforms within thirty (30) days from the expiration or termination of this Agreement;

11.3.3.   Each party shall delete the other party’s Confidential Information (except that a party may retain one archived and safeguarded copy of the other party’s Confidential Information which shall not be used except for accounting, bookkeeping or enforcement of this Agreement), and provide the other party with written certification of such deletion upon request;

11.3.4.    Company will bill Customer for all outstanding Fees (if any);

11.4.                      Sections 1,8, 9, 10, 11, 12, 13, 14, 15 and 17 of this Agreement shall survive termination or expiration of this Agreement.

12.   Audit

12.1.                      Throughout the Term and for one (1) year thereafter, Company shall have the right, upon reasonable prior notice and during normal business hours, to audit, by itself or by any authorized representative on its behalf, Customer’s use of the ClearMash Platforms, to ensure compliance with the terms of this Agreement, including without limitation in relation to any usage restrictions and approved number of Authorized Users. Such audit may be conducted remotely through system logs, usage reports, or other technical means, or, if necessary, on-site at Customer’s premises.

12.2.                      If an audit reveals that Customer has exceeded the permitted usage or number of authorized users, Customer shall promptly pay to Company all applicable overage fees at the Company’s then-current rates, together with any reasonable costs incurred by the Company in conducting the audit, upon receipt of an invoice from Company.

13.   Disclaimers

13.1.                      THE CLEARMASH PLATFORMS ARE PROVIDED "AS IS." TO THE MAXIMUM EXTENT PERMITTED BY LAW, CLEARMASH EXPRESSLY DISCLAIMS ANY AND ALL WARRANTIES, CONDITIONS, REPRESENTATIONS, AND GUARANTEES WITH RESPECT TO THE CLEARMASH PLATFORMS, WHETHER EXPRESS OR IMPLIED, ARISING BY LAW, CUSTOM, TRADE USAGE, PRIOR ORAL OR WRITTEN STATEMENTS, OR OTHERWISE, INCLUDING, WITHOUT LIMITATION, ANY WARRANTY OF MERCHANTABILITY, FITNESS FOR A PARTICULAR PURPOSE, NON-INFRINGEMENT, EXPECTED RESULT, QUALITY, TITLE, PERFORMANCE, SECURITY, OR COMPATIBILITY. NO REPRESENTATION OR OTHER AFFIRMATION OF FACT, WHETHER MADE BY CLEARMASH, A REPRESENTATIVE, OR OTHERWISE, WHICH IS NOT EXPRESSLY PROVIDED IN THIS AGREEMENT, SHALL BE DEEMED TO BE WARRANTY BY CLEARMASH FOR ANY PURPOSE, OR GIVE RISE TO ANY LIABILITY OF CLEARMASH WHATSOEVER.

13.2.                      CLEARMASH DOES NOT WARRANT OR GUARANTEE THE ACCURACY OR CORRECTNESS OF ANY RESULTS PRODUCED THROUGH USE OF THE CLEARMASH PLATFORMS. CUSTOMER ACKNOWLEDGES THAT THE CLEARMASH PLATFORMS MAY CONTAIN ERRORS, DEFECTS, OR BUGS THAT MAY CAUSE INACCURATE OR INCORRECT RESULTS. CUSTOMER IS SOLELY AND FULLY RESPONSIBLE FOR ALL CONTENT UPLOADED TO OR MADE AVAILABLE THROUGH THE CLEARMASH PLATFORMS. CLEARMASH DISCLAIMS ANY WARRANTY IN RELATION TO OR LIABILITY FOR ERRORS, DEFECTS, BUGS, OR OMISSIONS IN THE CLEARMASH PLATFORMS OR ITS FEATURES.

13.3.                      SOME OF THE OUTPUT GENERATED BY THE CLEARMASH PLATFORMS IS GENERATED USING ARTIFICIAL INTELLIGENCE (AI) TOOLS. THE FIELD OF AI AND MACHINE LEARNING IS CONSTANTLY EVOLVING, CHANGING, AND IMPROVING. ALTHOUGH CLEARMASH MAKES CONSTANT EFFORTS TO IMPROVE THE QUALITY AND ACCURACY OF THE CLEARMASH PLATFORMS' OPERATIONS AND ENDEAVORS TO APPLY CONTINUOUS HUMAN REVIEW AND OVERSIGHT, DUE TO THE NATURE OF SUCH TECHNOLOGY, CLEARMASH CANNOT GUARANTEE THAT THE OUTPUT WILL ALWAYS BE ACCURATE, COMPLETE, OR CORRECT. CLEARMASH DISCLAIMS ANY WARRANTY IN RELATION TO OR LIABILITY FOR ERRORS OR OMISSIONS IN THE OUTPUT GENERATED BY THE CLEARMASH PLATFORMS.

13.4.                      CUSTOMER SHALL BE RESPONSIBLE FOR EVALUATING THE ACCURACY, COMPLETENESS, AND RELEVANCE OF THE OUTPUT. CUSTOMER'S USE OF, AND RELIANCE UPON, THE CLEARMASH PLATFORMS AND THE OUTPUT SHALL BE SOLELY AT CUSTOMER'S OWN RISK. COMPANY ASSUMES FULL RESPONSIBILITY FOR ANY LOSS OR DAMAGE ARISING FROM OR IN RELATION TO CUSTOMER AND ITS AUTHORIZED USERS' USE OF THE CLEARMASH PLATFORMS AND OUTPUT.

14.   Limitation of liability

14.1.                      TO THE MAXIMUM EXTENT PERMITTED BY APPLICABLE LAW, COMPANY AND ITS EMPLOYEES, DIRECTORS, OFFICERS, SHAREHOLDERS, LICENSORS, ADVISORS, AND ANYONE ACTING ON THEIR BEHALF (COLLECTIVELY, "STAFF"), WILL NOT BE LIABLE FOR ANY INDIRECT, INCIDENTAL, CONSEQUENTIAL, SPECIAL, STATUTORY, OR PUNITIVE DAMAGES, LOSSES (INCLUDING LOSS OF PROFIT AND LOSS OF DATA), COSTS, EXPENSES, AND PAYMENTS, EITHER IN TORT (INCLUDING NEGLIGENCE), CONTRACT, OR IN ANY OTHER FORM OR THEORY OF LIABILITY, ARISING FROM OR IN CONNECTION WITH THIS AGREEMENT AND THE CLEARMASH PLATFORMS, EVEN IF COMPANY IS ADVISED OF THE POSSIBILITY OF SUCH DAMAGE, LOSS, COSTS, EXPENSES, OR PAYMENTS.

14.2.                      WITHOUT DEROGATING FROM THE AFORESAID, IN NO EVENT WILL COMPANY'S CUMULATIVE LIABILITY (I) TO CUSTOMER, EXCEED THE AMOUNT PAID OR PAYABLE TO COMPANY BY CUSTOMER DURING THE THREE (3) MONTHS PRECEDING THE FIRST EVENT GIVING RISE TO SUCH LIABILITY, AND (II) TO AN AUTHORIZED USER, EXCEED THE AMOUNT SPECIFIED IN THE API TERMS OF USE OR THE GENERAL TERMS OF USE (AS APPLICABLE) .

15.   Indemnity

15.1.                      Company shall indemnify, defend and hold harmless Customer and its directors, officers, employees and independent contractors (“Customer Indemnified Parties”) from and against any and all costs, liabilities, losses and expenses, incurred by a Customer Indemnified Party, including, but not limited to, reasonable attorneys’ fees, resulting from any claim, suit or action brought by a third party against a Customer Indemnified Party alleging that the ClearMash Platforms infringe or misappropriate any currently existing Intellectual Property Rights.

15.2.                      If Company suspects, in its sole discretion, that an actual or anticipated plea or claim of Intellectual Property Rights infringement may arise in relation to any ClearMash Platform, Company may, at its option and expense: (i) obtain for Customer the right to continue using the applicable ClearMash Platform; (ii) replace or modify the applicable ClearMash Platform so that it is no longer subject to such plea or claim, but performs the same functions in an equivalent manner; and (iii) if neither of the foregoing options are commercially practicable, terminate this Agreement and refund Customer a prorated portion of any pre-paid Fees paid by Customer as of the date of termination.

15.3.                      Company's obligations pursuant to Sections 15.1-15.2 hereto shall not apply to: (i) Customer or its Authorized Users' negligence, abuse or misapplication of any ClearMash Platform; (ii) Customer or its Authorized Users' use of any ClearMash Platform other than as specified in this Agreement and any of its Appendixes and Addendums, or in the ClearMash General Terms of Use; (iii) any alterations, modifications or adaptations of any ClearMash Platform performed by anyone other than Company; (iv) any unauthorized combination or interfacing of the any ClearMash Platform with other hardware or software; or (v) causes beyond the reasonable control of Company. SECTIONS 15.1-15.3 HERETO STATE CUSTOMER’S SOLE AND EXCLUSIVE REMEDIES FOR INFRINGEMENT OR CLAIMS ALLEGING INFRINGEMENT IN CONNECTION WITH THE CLEARMASH PLATFORMS.

15.4.                      Customer shall indemnify, defend and hold harmless Company, and its directors, officers, employees and independent contractors (the “Company Indemnified Parties”) from and against any and all costs, liabilities, losses and expenses, incurred by a Company Indemnified Party, including, but not limited to, reasonable attorneys’ fees, resulting from any claim, suit or action brought by a third party against a Company Indemnified Party relating to: (a) Customer or its Authorized Users' breach of its obligations under this Agreement; (b) infringement or misappropriation of any Intellectual Property Rights by Customer and its Authorized Users in connection with their use of the ClearMash Platforms; and (c) Customer or its Authorized Users’ breach of any applicable laws and regulations in connection with their use of the ClearMash Platforms hereunder.

15.5.                      The foregoing indemnification obligations are dependent upon the party seeking indemnification (“Indemnitee”) providing the indemnifying party (“Indemnitor”) with (i) prompt written notice of any indemnifiable claim, provided that an Indemnitee’s failure to promptly notify the Indemnitor will not affect the Indemnitor’s obligations hereunder except to the extent that such delay prejudices Indemnitor’s ability to defend such claim ; (ii) all reasonable assistance and cooperation in the defense of such indemnifiable claim and any related settlement negotiations, at the Indemnitor’s expense; and (iii) exclusive control over the defense of such indemnifiable claim and any related settlement negotiations, provided that the Indemnitor will not enter into any settlement that adversely affects Indemnitee’s rights without the Indemnitee’s prior written consent (which shall not be unreasonably withheld). The Indemnitee will have the right, at its own expense, to participate in the defense (and related settlement negotiations) of any indemnifiable claim with counsel of its own selection. 

16.   Governing law and jurisdiction

16.1.                      This Agreement shall be governed by and construed in accordance with the laws of the State of Israel, without reference to its conflict of laws rules. The parties agree that the sole and exclusive jurisdiction for any dispute arising out of or relating to this Agreement lies within the courts of the Tel Aviv district, Israel.

16.2.                      Notwithstanding the foregoing, a party may lodge a claim against the other party: (a) pursuant to the indemnity clause above, in any court adjudicating a third party claim against the other party; and (b) for interim, emergency or injunctive relief, in any other court having general jurisdiction over the other party.

17.   Miscellaneous.

17.1. Ethical Business Practices. The parties represent, warrant, and undertake that, in relation to this Agreement, they will not, directly or indirectly, offer, promise, authorize, give, solicit, or accept any undue financial or other advantage, payment, gift, or benefit of any kind for the purpose of improperly influencing any act or decision, securing any improper advantage, or inducing the improper performance of any function or activity. If either party becomes aware of any actual or suspected breach of this section 17.1, it shall promptly notify the other party and cooperate in good faith to address and remediate the matter.

17.2. Order of Precedence. In the event of any conflict or inconsistency between the terms of the following documents, the order of precedence shall be as follows (with the document listed first prevailing over those listed subsequently):

1.       The SOW (if applicable)

2.       The Order Form;

3.       The DPA (solely with respect to processing of personal data);

4.       This Agreement;

5.       The API Terms of Use (solely with respect to use of the ClearMash API);

6.       The ClearMash General Terms of Use.

17.3. Assignment. Neither party may assign or delegate, any of its rights or obligations under this Agreement without the prior written consent of the other party, provided that Company may assign its rights and obligations under this Agreement to a purchaser of all or substantially all of its assets or share capital relating to this Agreement.

17.4. Independent Contractors.  The parties are independent contractors.  Neither party shall be deemed to be an employee, agent, partner or legal representative of the other for any purpose and neither shall have any right, power or authority to create any obligation or responsibility on behalf of the other.

17.5. Force Majeure. Except for Customer’s obligation to make payment of any Fees due and owing hereunder, neither party shall be liable for any failure or delay in the performance of its obligations hereunder on account of strikes, shortages, riots, insurrection, fires, flood, storm, explosions, earthquakes, telecommunications outages, acts of God, war or military operation, terrorism, governmental action, or any other cause which is beyond the reasonable control of such party (each, a "Force Majeure Event").

If a Force Majeure Event persist for more than sixty (60) consecutive days, either party may terminate this Agreement with immediate effect upon written notice to the other party.

17.6. Waiver. The failure of either party to require performance by the other party of any provision shall not affect the full right to require such performance at any time thereafter; nor shall the waiver by either party of a breach of any provision hereof be taken or held to be a waiver of the provision itself.

17.7. Severability. If any provision of this Agreement is held by a court of competent jurisdiction to be contrary to law, such provision shall be changed and interpreted so as to best accomplish the objectives of the original provision to the fullest extent allowed by law and the remaining provisions of this Agreement shall remain in full force and effect.

17.8. Entire Agreement. This Agreement and all the Appendixes and Addendums hereto, constitute the entire and exclusive statement of the understanding between the parties with respect to the subject matter hereof. This Agreement supersedes, and the terms of this Agreement govern, any other prior or collateral agreements with respect to the subject matter hereof.  Any amendments to this Agreement must be in writing and executed by both parties.


Appendix A – Service Levels Agreement

1.       Definitions

1.1.   "Availability" shall have the meaning ascribed to it in Section 3.1 of this Appendix A.

1.2.   "Business Hours" means Sunday to Thursday, 8:00 AM – 17:00 PM Israel local time on a Business Day.

1.3.   "Business Day" means any day from Sunday through Thursday on which commercial banks in Israel are open for general business, and excludes: (i) Fridays and Saturdays, (ii) any official public holiday in Israel, (iii) the eve of any official public holiday in Israel, and (iv) any day (or part of a day) on which the relevant Israeli securities market or clearing and settlement system is closed due to market vacation, market-wide closure, or similar event.

1.4.   "Critical Incident" means an incident that has rendered a ClearMash Platform materially non-functional.

1.5.   "Emergency Maintenance" means maintenance operations intended to fix a Critical Incident or Major Incident, that require the suspension of a ClearMash Platform's operation.

1.6.   "Incident" means either a Critical Incident, Major Incident or Minor Incident, as the case may be.

1.7.   "Initial Response" means the first response provided by Company support personnel to an Incident reported by Customer, that does not necessarily include a Solution.

1.8.   "Major Incident" means an incident that has rendered a ClearMash Platform partially usable, with some features and functions non-functioning.

1.9.   "Minor Incident" means any incident other than a Critical Incident or a Major Incident.

1.10.                      "Off-Peak Hours" means any time between 23:00 and 6:00 Israel local time.

1.11.                      "Scheduled Downtime" is any period during which Company suspends the operation of the ClearMash Platforms for periodic maintenance purposes.

1.12.                      "Solution" means any actions and procedures taken to circumvent or overcome the impact of an Incident.

1.13.                      "Unscheduled Downtime" means any period during which Company suspends the operation of the ClearMash Platforms, other than: (i) Scheduled Downtime; (ii) downtime caused by factors outside the Company’s reasonable control, including Force Majeure Events, internet or network provider failures, or third-party service interruptions; (iii) downtime resulting from Customer’s acts or omissions.

Capitalized terms used herein but not specifically defined herein shall have the meanings ascribed to them in the Agreement.

2.       Availability

2.1.   Definition of Availability

The Availability of the ClearMash Platforms shall be calculated on a monthly basis, according to the following calculation:

521ea4d0f1c34be199464244ec69c88f;image/png;2355;blob

Whereas:

T = the total number of minutes in the respective month, excluding Off Peak Hours;

D = the total number of minutes of Unscheduled Downtime in the respective month;

S = the total number of minutes of Scheduled Downtime in the respective month;

C = the total number of minutes in the respective month in which a ClearMash Platform had a Critical Incident.

2.2.   Availability Warranty

Company shall make the ClearMash Platforms available and maintain their functionality to Customer and its Authorized Users, with a monthly Availability level of at least 99.5% (ninety nine point five percent).

2.3.   Scheduled Downtime

Company shall use commercially reasonable efforts to minimize the Scheduled Downtime duration and limit Scheduled Downtime to Off-Peak hours only, and provide Customer with a prior notice thereof.

The total cumulative duration of Scheduled Downtime in any calendar month shall not exceed eight (8) hours.

2.4.   Emergency Maintenance

Company shall use commercially reasonable efforts to conduct Emergency Maintenance during Off-Peak Hours and upon written notice thereof to Customer by email.

The total cumulative duration of Emergency Maintenance in any calendar month shall not exceed two (2) hours.

3.       Incident Resolution

3.1.   The following Initial Response and resolution times shall apply for each Incident categories:

Incident Category

Initial Response (within Business Hours)

Resolution time

Critical Incident

Within 1 hour 

Continuous work from Initial Response and until a Solution is implemented or applied to the affected ClearMash Platform (or any part thereof)

Major Incident

Within 8 hours

Continuous work (within work hours) from Initial Response and until a Solution is available. Once a Solution is available, Company shall implement or apply it to the affected ClearMash Platform (or any part thereof) within 12 hours.

Minor Incident

Next Business Day

Upon next major release of an update to the ClearMash Platforms.

 

3.2.   No Incident shall be considered resolved until both parties have reasonably determined and agreed that the Incident has been fully resolved.

4.       Support Availability and Contacts

The Company's support team may be contacted during Business Hours through the following channels:

(a) by email at [email protected] for any support questions or requests.

(b) by email at [email protected] for any requests for billable changes based on an agreed SOW.

(c) by email at [email protected] for any support questions or requests for developers using the API.

(d) by a contact form on ClearMash’s website.

(e) by contact form in ClearMash’s support platform.

(e) by contact form in ClearMash’s developers platform.

 

5.       Remedies

If Company fails to meet the Availability warranty provided in section 2.2 above during any given calendar month, Customer shall be entitled to receive the following compensation:

Availability

Compensation

 99.5% > A ≥ 99.0%

Service credits in the amount of 1% of the Fees for the respective calendar month.

(II) 99.0% > A ≥ 97.0%

Service credits in the amount of 1.5% of the Fees for the respective calendar month.

(III) 97.0% > A ≥ 95.0%

Service credits in the amount of 2% of the Fees for the respective calendar month.

95.0% > A ≥ 94.0%

Service credits in the amount of 2.5% of the Fees for the respective calendar month.

94.0% > A ≥ 92.0%

Service credits in the amount of 3% of the Fees for the respective calendar month.

92.0% > A ≥ 90.0%

Service credits in the amount of 3.5% of the Fees for the respective calendar month.

90.0% > A

(i) Service credits in the amount of 5% of the Fees for the respective calendar month; and (ii) the right to terminate the Agreement subject to a fourteen (14) day prior written notice to Company.

if Company fails to meet the Availability warranty for any three (3) consecutive months, the Customer shall be entitled to terminate this Agreement upon written notice to Company, with immediate effect.

The above compensation constitutes the Customer's entire and sole remedy for Company's failure to meet the Availability warranty.

6.       SLA Reporting

Upon Customer's reasonable written request, Company will provide Customer with a report summarizing statistics and relevant details of all Incidents that occurred on the ClearMash Platforms in the preceding calendar month.

 

 

 

הצטרפו עוד היום והפכו את הלקוחות שלכם למרוצים יותר!
Master Services Agreement

January 2026


This Master Services Agreement ("Agreement") constitutes a binding contract between the entity identified in the Order Form as the customer (“Customer”) and ClearMash Solutions Ltd. (“Company”), in relation to the Company's solution for organizational knowledge management, as provided through the ClearMash Platforms (as defined below).

Please read this Agreement carefully before using the ClearMash Platforms. By using the ClearMash Platforms, you indicate that you have read and agree to this Agreement, the Data Processing Addendum (DPA), the Privacy Policy and any other document incorporated by reference herein.

1.       Definitions

1.1.   "Authorized Users" means those employees, consultants and any third parties (whether from within Customer's organization or not) that Customer designates and authorizes to use and deal with the ClearMash Platforms on its behalf.

1.2.   "ClearMash Platform(s)" means the Main Platform, the Developers Platform and the Support Platform, any or all.

1.3.   "Customer Data" means any data derived automatically from Customer's systems and any data the Customer manually uploads to the ClearMash Platforms or modifies using the ClearMash Platforms, whether it concerns Individuals or otherwise.

1.4.   "Developers Platform" means ClearMash's proprietary web-based platform intended to assist Customers' developers in the operation of the Main Platform.

1.5.   "Feedback" means any review or information provided by Customer concerning any of the ClearMash Platforms, including information pertaining to bugs, errors and malfunctions, performance, or any enhancements, changes, or additions, whether provided orally, in writing or otherwise.

1.6.   "Fees" shall have the meaning ascribed to it in Section 7.1 below.

1.7.   "Intellectual Property Rights” means any and all rights in, arising out of, or associated with: (i) all patents and utility models and applications therefore, and all reissues, divisions, re-examinations, renewals, extensions, provisional, continuations, and equivalent or similar rights anywhere in the world in inventions and discoveries including without limitation invention disclosures; (ii) all copyrights, copyright registrations and applications therefore, and all other rights corresponding thereto throughout the world, including without limitation “moral” rights; (iii) all industrial designs and any registrations and applications therefore throughout the world; (iv) mask works, mask work registrations and applications therefore, and all other rights corresponding thereto throughout the world; (v) all trade secrets and other rights in know-how and confidential or proprietary information; and (vi) any similar, corresponding, or  equivalent rights to any of the foregoing anywhere in the world.

1.8.   "Main Platform" means ClearMash's proprietary web-based, AI-driven knowledge-management Platform, which manages company knowledge (also known as ClearMash Mentor) and provide self service knowledge base (also known as ClearMash Care).

1.9.   "Order Form" means the order form executed by the parties in relation to this Agreement.

1.10.                      "Output" means any metadata, insights, reports, or other information the ClearMash Platforms generate based on the Customer Data. 

1.11.                      "SOW" means the Statement of Work executed by the parties, if executed.

1.12.                      "Support Platform" means ClearMash's proprietary web-based platform intended to assist Customer's Authorized Users in the operation of the Main Platform.

1.13.                      "Term" shall have the meaning ascribed to it in the applicable Order Form.

1.14.                      "Testimonial" means any statement, endorsement, review, comment, or other communication, whether written, oral or recorded in any medium, provided by the Customer or its Authorized Users regarding their experience with, or opinions about, the ClearMash Platforms, the Company or any other services it provides.

2.       Grant of License; Restrictions

2.1.   Subject to this Agreement, ClearMash grants Customer, a limited, non-exclusive, worldwide, non-sublicensable, non-transferable, and revocable license to access and use the ClearMash Platforms, from the Effective Date and throughout the Term of the Agreement (the "License"). Customer shall use the ClearMash Platforms for Customer's internal business and organizational purposes only, unless the parties agree otherwise in writing. All rights not specifically granted to Customer herein are exclusively reserved to ClearMash.

2.2.   Access to and use of the ClearMash Platforms is further subject to ClearMash General Terms of Use, available at https://legal.clearmash.com/GeneralTermsofUse.htm?lang=he, as may be updated by the Company from time to time.

2.3.   User accounts provided to Customer under the License shall be individually named and assigned to specific Authorized Users, at Customer's choice. User accounts may only be transferred to, used by, or shared with, other individuals or employees, within the Customer’s organization, or outside the Customer’s organization, upon Company's written approval.

2.4.   Customer acknowledges that the License is limited to the number of user accounts specified in the Order Form or the SOW (as applicable). In the event that Customer exceeds the agreed number of user accounts at any time during the Term, Customer hereby authorizes Company to charge Customer for such excess usage, upon written notice to Customer. Overage charges shall be calculated based on the Company's then-current rates for additional users and shall be prorated for the applicable billing period.

2.5.   Customer covenants that Customer and its Authorized Users will use the ClearMash Platforms only in compliance with all applicable laws and regulations, this Agreement and the ClearMash General Terms of Use. Customer shall be liable to Company for all acts or omissions of Customer's Authorized Users.

2.6.   If Customer allows, in its sole discretion, Authorized Users from outside Customer's organization to use the ClearMash Platforms, including (without limitation) its customers ("External Authorized Users"): (i) Customer shall be liable to Company for all acts or omissions of External Authorized Users; (ii) Customer shall be solely liable for providing External Authorized Users with the ClearMash General Terms of Use, and for providing any updated versions of the General Terms of Use in the future; (iii) Customer shall be solely liable for providing External Authorized Users with a privacy policy, for obtaining their explicit consent to the processing of their data and sharing it with Company, and recording such consent.

2.7.   When using the ClearMash Platforms, Customer and its Authorized Users shall not, and shall not allow others to: (i) attempt to circumvent, bypass, or deactivate security or protection measures of the ClearMash Platforms; (ii) use the ClearMash Platforms to develop or create an application, website, or any other product similar to, or competing with, the ClearMash Platforms; (iii) use the ClearMash Platforms, or any part thereof, for the purpose of benchmarking, performance testing, or comparing the ClearMash Platforms with any other products or services; (iv) attempt to compromise information security on the ClearMash Platforms or in any network or server used by Company, attempt to uncover information security vulnerabilities, or attempt to engage in any form of probing, scanning, crawling, robotic navigating, or hacking of the ClearMash Platforms; (v) attempt to access the ClearMash Platforms, download any information, or use any information on the ClearMash Platforms through an automated or mechanized process; (vi) attempt to activate or access features or capabilities that are undocumented, not ordinarily accessible, or deactivated in the ClearMash Platforms; (vii) attempt to engage in reverse-engineering, modifying, translating, replacing or reverse-compiling, disassembling, or decompiling of the ClearMash Platforms or any of its parts; (viii) use the ClearMash Platforms in any manner that may give rise to a criminal offense, civil tort, infringement, or violation of the rights of any third party; (ix) attempt to burden or interfere with the operation of the systems related to the operation of the ClearMash Platforms; (x) use the ClearMash Platforms to send or introduce into the Company or any third party's system, any virus, worm, Trojan horse or other malicious or harmful code or attachment; (xi) use the ClearMash Platforms for or in connection with any action that may encourage or constitute a threat, harassment, or fraud, or in connection with any high-risk activity (including, without limitation, life-support systems, emergency services, air traffic control, nuclear facilities, or any other use where failure or malfunction could reasonably result in death, personal injury, or severe damage); (xii) use the ClearMash Platforms to send unsolicited or unauthorized messages; (xiii) perform any action that may violate any applicable anti-spam and electronic communications laws and regulations; (xiv) use the ClearMash Platforms in violation of the provisions of this Agreement.

2.8.   Customer acknowledges that Company may (but is under no obligation to) employ technological measures to detect and prevent fraudulent or abusive use of the ClearMash Platforms. Company may suspend or block the access of an Authorized User to the ClearMash Platforms upon written notice, if Company, in its sole discretion, suspects that the Authorized User has abused their right to use the ClearMash Platform under this Agreement.

3.       API

3.1.   Access to and use of any application programming interfaces (“APIs”) provided by Company in connection with the ClearMash Platforms, shall be subject to the API terms and conditions, available at https://legal.clearmash.com/APITermsofUse.htm?lang=he, as may be updated by the Company from time to time. Customer and its Authorized Users’ access to or use of the APIs constitutes acceptance of the applicable API terms and conditions.

3.2.   Unless agreed otherwise in writing, Customer is strictly prohibited from sublicensing, assigning, providing access to or otherwise distributing the API in any manner, other than to its employees who Customer assigns to use the API. A breach of this provision shall be considered material breach of this Agreement.

Without derogating from the foregoing, if Customer permits any vendor, end user or third party outside Customer's organization to access and use the API, then Customer is solely responsible for: (i) any action or omission by such third party in relation to the use of the API; and (ii) providing the API Terms of Use to such third party and ensuring that third party's compliance with the provisions therein. Customer is strictly prohibited from (i) making any representations and/or warranties to any third party on behalf of Company; and (ii) presenting the API as a component or a part of Customer's or any third party's product or service. 

4.       Support

Company shall provide Customer with maintenance and support services as stipulated in the Service Levels Agreement attached hereto as Appendix A to this Agreement ("SLA"). Unless otherwise agreed by the parties, the maintenance and support services described in the SLA will be provided at no additional cost to Customer.

5.       Professional Services

5.1.   From time to time, the Customer may elect to engage the Company to provide Professional Services, in which case the parties will execute a separate order form. The Professional Services shall be provided under and governed by the terms of this Agreement, the order form and any other applicable terms.

For the purpose of this section, "Professional Services" means any services provided by Company in relation to the ClearMash Platforms, including, without limitation, consulting, integration, training, or other advisory or professional activities.

5.2.   The provision of Professional Services will be subject to additional fees, as specified in the applicable order form.

6.       Security; Accessibility

6.1.   Company implements and maintains appropriate technical and organizational security measures to protect the confidentiality, integrity, and availability of all the ClearMash Platforms and the data therein. A list of the security measures we implement is available on our website, at https://www.clearmash.co.il/skn/he/c6/e288/אבטחת_מידע.

Notwithstanding the foregoing and without derogating from Company's responsibilities herein, Customer shall implement and maintain appropriate security measures on its end, including but not limited to: (i) ensuring that all Authorized Users maintain the confidentiality of their login credentials; (ii) implementing appropriate access controls and user management practices within Customer's organization; and (iii) ensuring that Customer's systems and networks used to access the ClearMash Platforms are adequately secured and protected against malware and other security threats.

6.2.   Company represents and warrants that the ClearMash platforms are designed and developed to conform, in all material respects, to the Web Content Accessibility Guidelines (WCAG) Level AA standard. The Company will use commercially reasonable efforts to maintain such conformance throughout the Term.

7.       Fees

7.1.   In consideration of the License, Customer shall pay Company a fee in the amounts and terms stipulated in the Order Form or the SOW (as applicable) ("Fees").

7.2.   All Customer's payment obligations are non-cancelable, and all amounts paid in connection with this Agreement are non-refundable. Except in the case of termination due to Company's material breach of this Agreement, Customer shall not be entitled to any refund (pro-rata or otherwise), for any fees it paid for the terminated Agreement.

7.3.   Each party shall be responsible for and shall pay all taxes, duties, levies, or similar governmental assessments of any nature (including, without limitation, value-added, sales, use, or withholding taxes) imposed in connection with its performance under this Agreement, except for taxes based on the other party’s net income.

7.4.   If Customer disputes, in good faith, any portion of the Fees, Customer shall notify the Company in writing within fifteen (15) days of the invoice date, specifying the amount in dispute and the basis for such dispute. Failure by Customer to provide timely written notice of a billing dispute shall constitute acceptance of the corresponding invoice as accurate and due in full.

The parties shall cooperate in good faith to resolve any billing dispute promptly, and in any event within thirty (30) days. All undisputed amounts remain due and payable.

7.5.   Any undisputed Fees that Customer did not pay within their due date are deemed overdue Fees. Failure to settle overdue Fees within fourteen (14) calendar days of their original due date will constitute a material breach of this Agreement. Without derogating from any other rights and remedies available to Company under applicable law in connection therewith, Company may, at its option and sole discretion: (i) suspend Authorized Users' access to the ClearMash Platforms; and/or (ii) collect interest from Customer at the lower of the rate of 0.75% per month or the maximum interest rate under applicable law on all overdue Fees. Customer agrees to reimburse Company for reasonable legal costs and reasonable attorney fees actually incurred in the course of collecting overdue Fees.

8.       Customer Data

8.1.   Customer is solely liable for the Customer Data it provides to Company through the ClearMash Platforms. By providing Customer Data to Company, Customer represents and warrants that the Customer Data: (i) only includes true, accurate, and complete details. Customer acknowledges that false, incorrect, or outdated information may impair Company's ability to provide Customer its services; (ii) does not contain any confidential information of third parties, including (without limitation) Customer's customers; (iii) does not infringe any third-party rights, including (without limitation) Intellectual Property Rights; (iv) does not include any personal data; and (v) does not include any content that is harmful or that may constitute or give rise to a criminal offense or a civil tort.

8.2.   Customer authorizes and instructs Company to process Customer Data to: (i) provide Customer with access to the ClearMash Platforms and their functions; (ii) generate the Output; (iii) provide support to Customer in the operation of the ClearMash Platforms, at Customer's request; and (iv) improve, and enhance the ClearMash Platforms, including by way of training of its Artificial Intelligence models, and develop or enhance any additional services or products, and market them or conduct product demonstrations to third parties, at no charge to Customer. Such use shall not disclose any confidential information of the Customer (all together: the "Purposes").

8.3.   Where Customer Data includes personal data of any individual: (i) Customer must promptly notify Company thereof in writing; (ii) Customer must obtain data subjects' consent prior to providing the Customer Data to Company; and (ii) the parties shall execute a Data Processing Addendum and abide by it and any applicable data privacy laws.

9.       Intellectual Property

9.1.   All Intellectual Property Rights in and to the ClearMash Platform, including Company's databases and the ClearMash Platforms’ design, graphics, computer code, algorithms, and “look and feel” (and except for Customer Data and Output), are the exclusive property of Company or its licensors (collectively: “Company IP”).

9.2.   Other than as expressly permitted in this Agreement, Customer and its Authorized Users may not, either directly or by a third party on their behalf, copy, distribute, display or perform publicly, sublicense, decompile, disassemble, reduce to human readable form, execute publicly, make available to the public, adapt, make commercial use of, process, compile, translate, sell, lend, rent, reverse engineer, combine with other software, modify or create derivative works of, the Company IP or any part thereof, in any way or by any means.

9.3.   Customer owns all Intellectual Property Rights in and to the Customer Data and Output. By using the ClearMash Platforms, Customer hereby grants Company a worldwide, sublicensable license to use the Customer Data and the Output for the Purposes.

9.4.   By providing Feedback or Testimonials to Company, Customer irrevocably transfers and assigns to Company all Intellectual Property Rights in and to any Feedback and Testimonials and waives any and all moral rights that Customer or its Authorized Users may have in respect thereto.

9.5.   Unless Customer notifies Company otherwise in writing, Company may identify Customer as a customer of the Company that uses the ClearMash Platforms, including on Company's website and in online or offline marketing materials. Customer hereby grants Company a worldwide, non-exclusive, non-transferable, royalty-free, and free of charge license to use the Customer's name, logo, and website URL, solely for the purpose of identifying Customer as the Company's customer, as described herein.

9.6.   Customer may not, without Company’s prior written consent in each instance, (a) use or display Company’s name, trademarks, logos, or website URL, or (b) publish or disseminate any testimonial, endorsement, review, rating, case study, quote, press release, or other public statement relating to Company or the ClearMash Platforms, whether online or offline. If Company provides such prior written consent, Company grants Customer a worldwide, non-exclusive, non-transferable, royalty-free license to use Company’s name, logo, and website URL solely to the extent and for the purpose expressly approved in writing by Company. Any approval may be withheld in the Company’s sole discretion and may be revoked by the Company at any time upon written notice, after which Customer will promptly cease the approved use and remove the applicable materials to the extent commercially practicable.

10.   Confidentiality

10.1.                      Confidential Information” shall mean any and all information disclosed by one party (”Disclosing Party”) to the other (”Receiving Party”) whether disclosed orally, in writing, electronically, visually, or in any other form, regarding past, present, or future marketing and business plans, customer lists, lists of prospective customers, technical, financial, operational, or other proprietary or confidential information of the Disclosing Party, formulae, concepts, discoveries, data, designs, ideas, inventions, methods, models, research plans, procedures, , formulations, processes, specifications and techniques, prototypes, samples, analyses, computer programs and/or software, trade secrets, data, methodologies, techniques, non-published patent applications, and any other data or information, and improvements and know-how related thereto. For the avoidance of doubt, any proprietary content, materials, documentation, or information provided by Company or made available through, or relating to, the ClearMash Platforms (other than the Customer Data and Output), including any non-public features, functionalities, user interfaces, configurations, or other elements of the ClearMash Platforms, shall be Company's Confidential Information.

10.2.                      Each Party herein must hold any Confidential Information in confidence using the same degree of care, but at least a reasonable degree of care, that it uses to prevent the unauthorized disclosure of its own Confidential Information. The Receiving Party may use Confidential Information only for the purpose of performing its obligations under this Agreement.

10.3.                      The obligations set forth in this section shall not apply to information that: (i) is now or subsequently becomes generally available in the public domain through no fault or breach on Receiving Party's part; (ii) Receiving Party can demonstrate in its prior established records to have had rightfully in Receiving Party's possession prior to disclosure of the same by the Disclosing Party; (iii) Receiving Party can demonstrate by written records that it had rightfully obtained the same from a third party who has the right to transfer or disclose it, without default or breach of confidentiality obligations; (iv) Disclosing Party has provided its prior written approval for disclosure; or (v) Receiving Party is required to disclose pursuant to a binding order or request by a court or other governmental authority, or a binding provision of applicable law, provided that, to the extent permissible, Receiving Party provides the Disclosing Party notice of the requested disclosure as soon as practicable, to allow the Disclosing Party, if it so chooses, to seek an appropriate protective or preventive order.

11.   Term and Termination

11.1.                      This Agreement will be in effect from the date of signing the Order Form and for the duration of the Term defined therein. The Agreement shall automatically renew under the terms stipulated in the Order Form.

11.2.                      Either party may terminate this Agreement:

11.2.1.   for material breach of this Agreement by the other party, by written notice to the party in breach with immediate effect, if the breaching party failed to cure such breach within fifteen (15) days of receiving written notice thereof from the other party.

11.2.2.   Immediately upon written notice to the other party, if that party: (i) becomes or is declared insolvent or bankrupt; (ii) is the subject of any proceeding related to its liquidation or insolvency (whether voluntary or involuntary) which proceedings are not dismissed within sixty (60) days of their commencement; (iii) makes an assignment for the benefit of creditors; or (iv) takes or is subject to any such other comparable action in any relevant jurisdiction.

11.3.                      Following termination of this Agreement:

11.3.1.   Company will terminate Customer and its Authorized Users' access to the ClearMash Platforms;

11.3.2.   Customer may ask to retrieve its data from the ClearMash Platforms within thirty (30) days from the expiration or termination of this Agreement;

11.3.3.   Each party shall delete the other party’s Confidential Information (except that a party may retain one archived and safeguarded copy of the other party’s Confidential Information which shall not be used except for accounting, bookkeeping or enforcement of this Agreement), and provide the other party with written certification of such deletion upon request;

11.3.4.    Company will bill Customer for all outstanding Fees (if any);

11.4.                      Sections 1,8, 9, 10, 11, 12, 13, 14, 15 and 17 of this Agreement shall survive termination or expiration of this Agreement.

12.   Audit

12.1.                      Throughout the Term and for one (1) year thereafter, Company shall have the right, upon reasonable prior notice and during normal business hours, to audit, by itself or by any authorized representative on its behalf, Customer’s use of the ClearMash Platforms, to ensure compliance with the terms of this Agreement, including without limitation in relation to any usage restrictions and approved number of Authorized Users. Such audit may be conducted remotely through system logs, usage reports, or other technical means, or, if necessary, on-site at Customer’s premises.

12.2.                      If an audit reveals that Customer has exceeded the permitted usage or number of authorized users, Customer shall promptly pay to Company all applicable overage fees at the Company’s then-current rates, together with any reasonable costs incurred by the Company in conducting the audit, upon receipt of an invoice from Company.

13.   Disclaimers

13.1.                      THE CLEARMASH PLATFORMS ARE PROVIDED "AS IS." TO THE MAXIMUM EXTENT PERMITTED BY LAW, CLEARMASH EXPRESSLY DISCLAIMS ANY AND ALL WARRANTIES, CONDITIONS, REPRESENTATIONS, AND GUARANTEES WITH RESPECT TO THE CLEARMASH PLATFORMS, WHETHER EXPRESS OR IMPLIED, ARISING BY LAW, CUSTOM, TRADE USAGE, PRIOR ORAL OR WRITTEN STATEMENTS, OR OTHERWISE, INCLUDING, WITHOUT LIMITATION, ANY WARRANTY OF MERCHANTABILITY, FITNESS FOR A PARTICULAR PURPOSE, NON-INFRINGEMENT, EXPECTED RESULT, QUALITY, TITLE, PERFORMANCE, SECURITY, OR COMPATIBILITY. NO REPRESENTATION OR OTHER AFFIRMATION OF FACT, WHETHER MADE BY CLEARMASH, A REPRESENTATIVE, OR OTHERWISE, WHICH IS NOT EXPRESSLY PROVIDED IN THIS AGREEMENT, SHALL BE DEEMED TO BE WARRANTY BY CLEARMASH FOR ANY PURPOSE, OR GIVE RISE TO ANY LIABILITY OF CLEARMASH WHATSOEVER.

13.2.                      CLEARMASH DOES NOT WARRANT OR GUARANTEE THE ACCURACY OR CORRECTNESS OF ANY RESULTS PRODUCED THROUGH USE OF THE CLEARMASH PLATFORMS. CUSTOMER ACKNOWLEDGES THAT THE CLEARMASH PLATFORMS MAY CONTAIN ERRORS, DEFECTS, OR BUGS THAT MAY CAUSE INACCURATE OR INCORRECT RESULTS. CUSTOMER IS SOLELY AND FULLY RESPONSIBLE FOR ALL CONTENT UPLOADED TO OR MADE AVAILABLE THROUGH THE CLEARMASH PLATFORMS. CLEARMASH DISCLAIMS ANY WARRANTY IN RELATION TO OR LIABILITY FOR ERRORS, DEFECTS, BUGS, OR OMISSIONS IN THE CLEARMASH PLATFORMS OR ITS FEATURES.

13.3.                      SOME OF THE OUTPUT GENERATED BY THE CLEARMASH PLATFORMS IS GENERATED USING ARTIFICIAL INTELLIGENCE (AI) TOOLS. THE FIELD OF AI AND MACHINE LEARNING IS CONSTANTLY EVOLVING, CHANGING, AND IMPROVING. ALTHOUGH CLEARMASH MAKES CONSTANT EFFORTS TO IMPROVE THE QUALITY AND ACCURACY OF THE CLEARMASH PLATFORMS' OPERATIONS AND ENDEAVORS TO APPLY CONTINUOUS HUMAN REVIEW AND OVERSIGHT, DUE TO THE NATURE OF SUCH TECHNOLOGY, CLEARMASH CANNOT GUARANTEE THAT THE OUTPUT WILL ALWAYS BE ACCURATE, COMPLETE, OR CORRECT. CLEARMASH DISCLAIMS ANY WARRANTY IN RELATION TO OR LIABILITY FOR ERRORS OR OMISSIONS IN THE OUTPUT GENERATED BY THE CLEARMASH PLATFORMS.

13.4.                      CUSTOMER SHALL BE RESPONSIBLE FOR EVALUATING THE ACCURACY, COMPLETENESS, AND RELEVANCE OF THE OUTPUT. CUSTOMER'S USE OF, AND RELIANCE UPON, THE CLEARMASH PLATFORMS AND THE OUTPUT SHALL BE SOLELY AT CUSTOMER'S OWN RISK. COMPANY ASSUMES FULL RESPONSIBILITY FOR ANY LOSS OR DAMAGE ARISING FROM OR IN RELATION TO CUSTOMER AND ITS AUTHORIZED USERS' USE OF THE CLEARMASH PLATFORMS AND OUTPUT.

14.   Limitation of liability

14.1.                      TO THE MAXIMUM EXTENT PERMITTED BY APPLICABLE LAW, COMPANY AND ITS EMPLOYEES, DIRECTORS, OFFICERS, SHAREHOLDERS, LICENSORS, ADVISORS, AND ANYONE ACTING ON THEIR BEHALF (COLLECTIVELY, "STAFF"), WILL NOT BE LIABLE FOR ANY INDIRECT, INCIDENTAL, CONSEQUENTIAL, SPECIAL, STATUTORY, OR PUNITIVE DAMAGES, LOSSES (INCLUDING LOSS OF PROFIT AND LOSS OF DATA), COSTS, EXPENSES, AND PAYMENTS, EITHER IN TORT (INCLUDING NEGLIGENCE), CONTRACT, OR IN ANY OTHER FORM OR THEORY OF LIABILITY, ARISING FROM OR IN CONNECTION WITH THIS AGREEMENT AND THE CLEARMASH PLATFORMS, EVEN IF COMPANY IS ADVISED OF THE POSSIBILITY OF SUCH DAMAGE, LOSS, COSTS, EXPENSES, OR PAYMENTS.

14.2.                      WITHOUT DEROGATING FROM THE AFORESAID, IN NO EVENT WILL COMPANY'S CUMULATIVE LIABILITY (I) TO CUSTOMER, EXCEED THE AMOUNT PAID OR PAYABLE TO COMPANY BY CUSTOMER DURING THE THREE (3) MONTHS PRECEDING THE FIRST EVENT GIVING RISE TO SUCH LIABILITY, AND (II) TO AN AUTHORIZED USER, EXCEED THE AMOUNT SPECIFIED IN THE API TERMS OF USE OR THE GENERAL TERMS OF USE (AS APPLICABLE) .

15.   Indemnity

15.1.                      Company shall indemnify, defend and hold harmless Customer and its directors, officers, employees and independent contractors (“Customer Indemnified Parties”) from and against any and all costs, liabilities, losses and expenses, incurred by a Customer Indemnified Party, including, but not limited to, reasonable attorneys’ fees, resulting from any claim, suit or action brought by a third party against a Customer Indemnified Party alleging that the ClearMash Platforms infringe or misappropriate any currently existing Intellectual Property Rights.

15.2.                      If Company suspects, in its sole discretion, that an actual or anticipated plea or claim of Intellectual Property Rights infringement may arise in relation to any ClearMash Platform, Company may, at its option and expense: (i) obtain for Customer the right to continue using the applicable ClearMash Platform; (ii) replace or modify the applicable ClearMash Platform so that it is no longer subject to such plea or claim, but performs the same functions in an equivalent manner; and (iii) if neither of the foregoing options are commercially practicable, terminate this Agreement and refund Customer a prorated portion of any pre-paid Fees paid by Customer as of the date of termination.

15.3.                      Company's obligations pursuant to Sections 15.1-15.2 hereto shall not apply to: (i) Customer or its Authorized Users' negligence, abuse or misapplication of any ClearMash Platform; (ii) Customer or its Authorized Users' use of any ClearMash Platform other than as specified in this Agreement and any of its Appendixes and Addendums, or in the ClearMash General Terms of Use; (iii) any alterations, modifications or adaptations of any ClearMash Platform performed by anyone other than Company; (iv) any unauthorized combination or interfacing of the any ClearMash Platform with other hardware or software; or (v) causes beyond the reasonable control of Company. SECTIONS 15.1-15.3 HERETO STATE CUSTOMER’S SOLE AND EXCLUSIVE REMEDIES FOR INFRINGEMENT OR CLAIMS ALLEGING INFRINGEMENT IN CONNECTION WITH THE CLEARMASH PLATFORMS.

15.4.                      Customer shall indemnify, defend and hold harmless Company, and its directors, officers, employees and independent contractors (the “Company Indemnified Parties”) from and against any and all costs, liabilities, losses and expenses, incurred by a Company Indemnified Party, including, but not limited to, reasonable attorneys’ fees, resulting from any claim, suit or action brought by a third party against a Company Indemnified Party relating to: (a) Customer or its Authorized Users' breach of its obligations under this Agreement; (b) infringement or misappropriation of any Intellectual Property Rights by Customer and its Authorized Users in connection with their use of the ClearMash Platforms; and (c) Customer or its Authorized Users’ breach of any applicable laws and regulations in connection with their use of the ClearMash Platforms hereunder.

15.5.                      The foregoing indemnification obligations are dependent upon the party seeking indemnification (“Indemnitee”) providing the indemnifying party (“Indemnitor”) with (i) prompt written notice of any indemnifiable claim, provided that an Indemnitee’s failure to promptly notify the Indemnitor will not affect the Indemnitor’s obligations hereunder except to the extent that such delay prejudices Indemnitor’s ability to defend such claim ; (ii) all reasonable assistance and cooperation in the defense of such indemnifiable claim and any related settlement negotiations, at the Indemnitor’s expense; and (iii) exclusive control over the defense of such indemnifiable claim and any related settlement negotiations, provided that the Indemnitor will not enter into any settlement that adversely affects Indemnitee’s rights without the Indemnitee’s prior written consent (which shall not be unreasonably withheld). The Indemnitee will have the right, at its own expense, to participate in the defense (and related settlement negotiations) of any indemnifiable claim with counsel of its own selection. 

16.   Governing law and jurisdiction

16.1.                      This Agreement shall be governed by and construed in accordance with the laws of the State of Israel, without reference to its conflict of laws rules. The parties agree that the sole and exclusive jurisdiction for any dispute arising out of or relating to this Agreement lies within the courts of the Tel Aviv district, Israel.

16.2.                      Notwithstanding the foregoing, a party may lodge a claim against the other party: (a) pursuant to the indemnity clause above, in any court adjudicating a third party claim against the other party; and (b) for interim, emergency or injunctive relief, in any other court having general jurisdiction over the other party.

17.   Miscellaneous.

17.1. Ethical Business Practices. The parties represent, warrant, and undertake that, in relation to this Agreement, they will not, directly or indirectly, offer, promise, authorize, give, solicit, or accept any undue financial or other advantage, payment, gift, or benefit of any kind for the purpose of improperly influencing any act or decision, securing any improper advantage, or inducing the improper performance of any function or activity. If either party becomes aware of any actual or suspected breach of this section 17.1, it shall promptly notify the other party and cooperate in good faith to address and remediate the matter.

17.2. Order of Precedence. In the event of any conflict or inconsistency between the terms of the following documents, the order of precedence shall be as follows (with the document listed first prevailing over those listed subsequently):

1.       The SOW (if applicable)

2.       The Order Form;

3.       The DPA (solely with respect to processing of personal data);

4.       This Agreement;

5.       The API Terms of Use (solely with respect to use of the ClearMash API);

6.       The ClearMash General Terms of Use.

17.3. Assignment. Neither party may assign or delegate, any of its rights or obligations under this Agreement without the prior written consent of the other party, provided that Company may assign its rights and obligations under this Agreement to a purchaser of all or substantially all of its assets or share capital relating to this Agreement.

17.4. Independent Contractors.  The parties are independent contractors.  Neither party shall be deemed to be an employee, agent, partner or legal representative of the other for any purpose and neither shall have any right, power or authority to create any obligation or responsibility on behalf of the other.

17.5. Force Majeure. Except for Customer’s obligation to make payment of any Fees due and owing hereunder, neither party shall be liable for any failure or delay in the performance of its obligations hereunder on account of strikes, shortages, riots, insurrection, fires, flood, storm, explosions, earthquakes, telecommunications outages, acts of God, war or military operation, terrorism, governmental action, or any other cause which is beyond the reasonable control of such party (each, a "Force Majeure Event").

If a Force Majeure Event persist for more than sixty (60) consecutive days, either party may terminate this Agreement with immediate effect upon written notice to the other party.

17.6. Waiver. The failure of either party to require performance by the other party of any provision shall not affect the full right to require such performance at any time thereafter; nor shall the waiver by either party of a breach of any provision hereof be taken or held to be a waiver of the provision itself.

17.7. Severability. If any provision of this Agreement is held by a court of competent jurisdiction to be contrary to law, such provision shall be changed and interpreted so as to best accomplish the objectives of the original provision to the fullest extent allowed by law and the remaining provisions of this Agreement shall remain in full force and effect.

17.8. Entire Agreement. This Agreement and all the Appendixes and Addendums hereto, constitute the entire and exclusive statement of the understanding between the parties with respect to the subject matter hereof. This Agreement supersedes, and the terms of this Agreement govern, any other prior or collateral agreements with respect to the subject matter hereof.  Any amendments to this Agreement must be in writing and executed by both parties.


Appendix A – Service Levels Agreement

1.       Definitions

1.1.   "Availability" shall have the meaning ascribed to it in Section 3.1 of this Appendix A.

1.2.   "Business Hours" means Sunday to Thursday, 8:00 AM – 17:00 PM Israel local time on a Business Day.

1.3.   "Business Day" means any day from Sunday through Thursday on which commercial banks in Israel are open for general business, and excludes: (i) Fridays and Saturdays, (ii) any official public holiday in Israel, (iii) the eve of any official public holiday in Israel, and (iv) any day (or part of a day) on which the relevant Israeli securities market or clearing and settlement system is closed due to market vacation, market-wide closure, or similar event.

1.4.   "Critical Incident" means an incident that has rendered a ClearMash Platform materially non-functional.

1.5.   "Emergency Maintenance" means maintenance operations intended to fix a Critical Incident or Major Incident, that require the suspension of a ClearMash Platform's operation.

1.6.   "Incident" means either a Critical Incident, Major Incident or Minor Incident, as the case may be.

1.7.   "Initial Response" means the first response provided by Company support personnel to an Incident reported by Customer, that does not necessarily include a Solution.

1.8.   "Major Incident" means an incident that has rendered a ClearMash Platform partially usable, with some features and functions non-functioning.

1.9.   "Minor Incident" means any incident other than a Critical Incident or a Major Incident.

1.10.                      "Off-Peak Hours" means any time between 23:00 and 6:00 Israel local time.

1.11.                      "Scheduled Downtime" is any period during which Company suspends the operation of the ClearMash Platforms for periodic maintenance purposes.

1.12.                      "Solution" means any actions and procedures taken to circumvent or overcome the impact of an Incident.

1.13.                      "Unscheduled Downtime" means any period during which Company suspends the operation of the ClearMash Platforms, other than: (i) Scheduled Downtime; (ii) downtime caused by factors outside the Company’s reasonable control, including Force Majeure Events, internet or network provider failures, or third-party service interruptions; (iii) downtime resulting from Customer’s acts or omissions.

Capitalized terms used herein but not specifically defined herein shall have the meanings ascribed to them in the Agreement.

2.       Availability

2.1.   Definition of Availability

The Availability of the ClearMash Platforms shall be calculated on a monthly basis, according to the following calculation:

521ea4d0f1c34be199464244ec69c88f;image/png;2355;blob

Whereas:

T = the total number of minutes in the respective month, excluding Off Peak Hours;

D = the total number of minutes of Unscheduled Downtime in the respective month;

S = the total number of minutes of Scheduled Downtime in the respective month;

C = the total number of minutes in the respective month in which a ClearMash Platform had a Critical Incident.

2.2.   Availability Warranty

Company shall make the ClearMash Platforms available and maintain their functionality to Customer and its Authorized Users, with a monthly Availability level of at least 99.5% (ninety nine point five percent).

2.3.   Scheduled Downtime

Company shall use commercially reasonable efforts to minimize the Scheduled Downtime duration and limit Scheduled Downtime to Off-Peak hours only, and provide Customer with a prior notice thereof.

The total cumulative duration of Scheduled Downtime in any calendar month shall not exceed eight (8) hours.

2.4.   Emergency Maintenance

Company shall use commercially reasonable efforts to conduct Emergency Maintenance during Off-Peak Hours and upon written notice thereof to Customer by email.

The total cumulative duration of Emergency Maintenance in any calendar month shall not exceed two (2) hours.

3.       Incident Resolution

3.1.   The following Initial Response and resolution times shall apply for each Incident categories:

Incident Category

Initial Response (within Business Hours)

Resolution time

Critical Incident

Within 1 hour 

Continuous work from Initial Response and until a Solution is implemented or applied to the affected ClearMash Platform (or any part thereof)

Major Incident

Within 8 hours

Continuous work (within work hours) from Initial Response and until a Solution is available. Once a Solution is available, Company shall implement or apply it to the affected ClearMash Platform (or any part thereof) within 12 hours.

Minor Incident

Next Business Day

Upon next major release of an update to the ClearMash Platforms.

 

3.2.   No Incident shall be considered resolved until both parties have reasonably determined and agreed that the Incident has been fully resolved.

4.       Support Availability and Contacts

The Company's support team may be contacted during Business Hours through the following channels:

(a) by email at [email protected] for any support questions or requests.

(b) by email at [email protected] for any requests for billable changes based on an agreed SOW.

(c) by email at [email protected] for any support questions or requests for developers using the API.

(d) by a contact form on ClearMash’s website.

(e) by contact form in ClearMash’s support platform.

(e) by contact form in ClearMash’s developers platform.

 

5.       Remedies

If Company fails to meet the Availability warranty provided in section 2.2 above during any given calendar month, Customer shall be entitled to receive the following compensation:

Availability

Compensation

 99.5% > A ≥ 99.0%

Service credits in the amount of 1% of the Fees for the respective calendar month.

(II) 99.0% > A ≥ 97.0%

Service credits in the amount of 1.5% of the Fees for the respective calendar month.

(III) 97.0% > A ≥ 95.0%

Service credits in the amount of 2% of the Fees for the respective calendar month.

95.0% > A ≥ 94.0%

Service credits in the amount of 2.5% of the Fees for the respective calendar month.

94.0% > A ≥ 92.0%

Service credits in the amount of 3% of the Fees for the respective calendar month.

92.0% > A ≥ 90.0%

Service credits in the amount of 3.5% of the Fees for the respective calendar month.

90.0% > A

(i) Service credits in the amount of 5% of the Fees for the respective calendar month; and (ii) the right to terminate the Agreement subject to a fourteen (14) day prior written notice to Company.

if Company fails to meet the Availability warranty for any three (3) consecutive months, the Customer shall be entitled to terminate this Agreement upon written notice to Company, with immediate effect.

The above compensation constitutes the Customer's entire and sole remedy for Company's failure to meet the Availability warranty.

6.       SLA Reporting

Upon Customer's reasonable written request, Company will provide Customer with a report summarizing statistics and relevant details of all Incidents that occurred on the ClearMash Platforms in the preceding calendar month.